题目内容
计算:
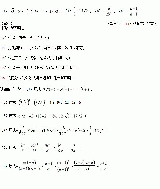
(1)
(2)
(3)-+
(4)(-)×
(5)
(6)
张大伯出去散步,从家走了20分钟,到一个离家900米的阅报亭,看了10分钟报纸后,用了15分钟返回到家,下面哪个图形表示张大伯离家时间与距离之间的关系( )
A. B.
C. D.
小张准备把一根长为32cm的铁丝剪成两段,并把每一段各围成一个正方形.(1)要使这两个正方形的面积之和等于40cm2,小张该怎么剪?
(2)小李对小张说:“这两个正方形的面积之和不可能等于30cm2.”他的说法对吗?请说明理由.
在如图所示的正方形纸片上做随机扎针实验,则针头扎在阴影区域内的概率为_______.
列方程或方程组解应用题:
据林业专家分析,树叶在光合作用后产生的分泌物能够吸附空气中的一些悬浮颗粒物,具有滞尘净化空气的作用.已知一片银杏树叶一年的平均滞尘量比一片国槐树叶一年的平均滞尘量的2倍少4毫克,若一年滞尘1000毫克所需的银杏树叶的片数与一年滞尘550毫克所需的国槐树叶的片数相同,求一片国槐树叶一年的平均滞尘量.
已知,则 ;
如果把中的和都扩大5倍,那么分式的值( )
A. 扩大5倍 B. 不变 C. 缩小5倍 D. 扩大4倍
若x=3是方程2x-10=4a的解,则a=____________.
化简求值:(2x+3y)2-(2x+y)(2x-y),其中x=,y=.