题目内容
化简求值:(2x+3y)2-(2x+y)(2x-y),其中x=,y=.
计算:
(1)
(2)
(3)-+
(4)(-)×
(5)
(6)
如图,用同样规格的黑白两色正方形瓷砖铺设矩形地面,请观察下列图形,探究并观察下列问题.
(1)第4个图中,共有白色瓷砖 块;第n个图中,共有白色瓷砖 块;
(2)第4个图中,共有瓷砖 块;第n个图中,共有瓷砖 块;
(3)如果每块黑瓷砖4元,白瓷砖3元,铺设当n=10时,共需花多少钱购买瓷砖?
下列计算正确的是( )
A. (-4)-(-1)= -3 B.
C. D.
如图,直线AB交x轴于点A(a,0),交y轴于点B(0,b),且a、b满足.
(1)点A的坐标为 ;点B的坐标为 ;
(2)如图1,若点C的坐标为(-3,-2),且BE⊥AC于点E,OD⊥OC交BE延长线于D,试求点D的坐标;
(3)如图2,M、N分别为OA、OB边上的点,OM=ON,OP⊥AN交AB于点P,过点P 作PG⊥BM,交AN的延长线于点G,请写出线段AG、OP与PG之间的数量关系,并证明你的结论.
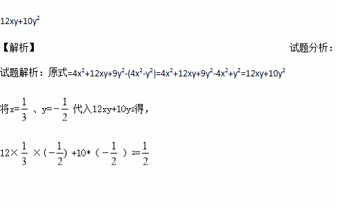
已知,则代数式的值为__________.
下列利用公式计算正确的是( )
A. B.
两个正数的平均数为2,其乘积的算术平方根为,则其中的大数比小数大( )
A. 4 B. 2 C. 6 D. 3
为了加强公民的节水意识,合理利用水资源,某城市规定用水收费标准如下:每户每月用水不超过6m3,水费按1.6元/m3收费;每户每月用水超过6m3时,超过的部分按4元/m3收费.设每户每月用水量为x(m3),应缴水费为y元.
(1)写出每月用水不超过6m3和超过6m3时,y与x之间的函数关系式.
(2)已知某户5月份的用水量为8m3,求该用户5月份的水费.