题目内容
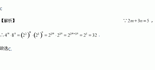
已知2m+3n=5,则4m·8n=( )
A. 16 B. 25 C. 32 D. 64
下列是同类项的是( )
A. ﹣mn与nm B. 3ab与3abc C. 2x2y与2x2z D. a2b与ab2
已知方程(m+2)x∣m∣—3x+1=0是关于x的一元二次方程,那么m的值为__________。
先化简,再求值:
(1)(2+a)(2-a)+a(a-2b)+3a5b÷(-a2b)4,其中ab=-.
(2),其中x=0.
如果代数式有意义,那么字母x的取值范围是_____.
下列等式一定正确的是( )
A. b3+b3=2b6 B. (-3pq)2=-9p2q2
C. (12a2b3c)÷(6ab2)=2ab D. (x2-4x)x-1=x-4
如图,有一只小鸟从小树顶飞到大树顶上,请问它飞行的最短路程是多少米?(先画出示意图,然后再求解).
在直线上且到x轴或y轴距离为1的点有 ( )个
A. 1 B. 2 C. 3 D. 4
使分式 无意义的x的值是_______.