题目内容
先化简,再求值:
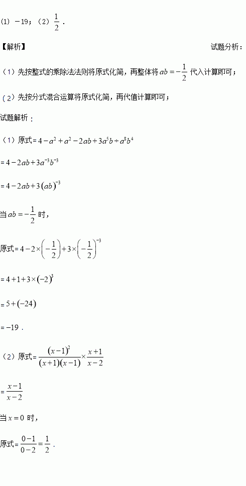
(1)(2+a)(2-a)+a(a-2b)+3a5b÷(-a2b)4,其中ab=-.
(2),其中x=0.
用边长为8cm的正方形,做了一套七巧板,拼成如图所示的一座桥,则桥中阴影部分的面积
为__________cm2.
(14分)如图,已知抛物线()与x轴交于点A(1,0)和点B(﹣3,0),与y轴交于点C,且OC=OB.
(1)求此抛物线的解析式;
(2)若点E为第二象限抛物线上一动点,连接BE,CE,求四边形BOCE面积的最大值,并求出此时点E的坐标;
(3)点P在抛物线的对称轴上,若线段PA绕点P逆时针旋转90°后,点A的对应点A′恰好也落在此抛物线上,求点P的坐标.
圆的直径为10cm,如果点P到圆心O的距离是d,则( )
A. 当d=8cm时,点P在⊙O内 B. 当d=10cm时,点P在⊙O上
C. 当d=5cm时,点P在⊙O上 D. 当d=6cm时,点P在⊙O内
京广高速铁路工程指挥部,要对某路段工程进行招标,接到了甲、乙两个工程队的投标书.从投标书中得知:甲队单独完成这项工程所需天数是乙队单独完成这项工程所需天数的;若由甲队先做10天,剩下的工程再由甲、乙两队合作30天完成.
(1)求甲、乙两队单独完成这项工程各需多少天?
(2)已知甲队每天的施工费用为8.4万元,乙队每天的施工费用为5.6万元.工程预算的施工费用为500万元.为缩短工期并高效完成工程,拟安排预算的施工费用是否够用?若不够用,需追加预算多少万元?请给出你的判断并说明理由.
如图,在平面直角坐标系中,点A,B分别在y轴和x轴上,∠ABO=60°,在坐标轴上找一点P,使得△PAB是等腰三角形,则符合条件的点P共有_____个.
已知2m+3n=5,则4m·8n=( )
A. 16 B. 25 C. 32 D. 64
计算: .
如图,△ABC≌△ADE,且∠CAD=10°,∠B=∠D=25°,∠EAB=120°,试求∠DFB和∠DGB的度数.