题目内容
如图,在?ABCD中,AB=6cm,AD=AC=5cm.点P由C出发沿CA方向匀速运动,速度为1cm/s;同时,线段EF由AB出发沿AD方向匀速运动,速度为1cm/s,交AC于Q,连接PE、PF.若设运动时间为t(s)(0<t<5).解答下列问题:(1)当t为何值时,PE∥CD?
(2)试判断三角形PEF形状,并请说明理由;
(3)当0<t<2.5时.
①在上述运动过程中,五边形ABFPE的面积是否为定值?如果是,求出五边形ABFPE的面积;如果不是,请说明理由;
②试求△PEQ的面积的取值范围.
【答案】分析:(1)首先用t表示出AE、CP、AP的长,若PE∥CD,那么△APE∽△ACD,根据相似三角形所得比例线段即可求得此时t的值.
(2)由于AD=AC,且QE∥CD,所以△AQE也是等腰三角形,即AQ=AE,由P、Q的速度可知:CP=AE=AQ,进而可求得CQ=AP,同理可证得△CFQ也是等腰三角形,即CF=CQ,由此得CF=AP,已求得AE=PC,而∠DAC=∠FCP,由此可证得△FCP≌△PAE,即可证得PF=PE,即△PEF是等腰三角形.
(3)①由(2)的全等三角形知:△AEP、△EPC的面积相等,因此五边形的面积可转化为△ABC的面积,所以五边形的面积是个定值;
②由(1)的相似三角形,易求得QE的表达式,分别过C、P作AB、EF的垂线CG、PH,交AB于G,交EF于H,根据等腰三角形三线合一的性质,易求得AG、BG的值,进而可求得∠ACG(即∠EPH)的余弦值,即可根据PQ的长表示出QE边上的高PH的值,由三角形的面积公式,可得关于△PQE的面积和t的函数关系式,根据函数的性质即可得到△PQE的最大面积,从而求得其面积的取值范围.
解答:(本题12分)
解:(1)由题意知AE=BF=CP=t,AP=5-t,
在?ABCD中,AD=BC=AC=5,AB=EF=CD=6,
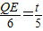
当PE∥CD时,△APE∽△ACD,
∴
,
∴t=2.5.
(2)是等腰三角形.
证明:在?ABCD中,AD=BC=AC=5,AB=EF=CD=6,∴∠CAB=∠CBA,
∵AB∥EF,∴∠CQF=∠CAB,∠CFQ=∠CBA,
∴∠CFQ=∠CQF,∴CF=CQ,
∴AQ=BF=AE,∴AP=CQ=CF,
∵AD∥BC,∴∠PAE=∠FCP,
∴△PAE≌△FCP(SAS),∴PE=PF.
(3)①是定值,为12.
理由:由(2)的全等三角形知:S△AEP=S△PCF,即S五边形BFPEA=S△ABC;
过C作CG⊥AB于G,
等腰△ACB中,AG=BG=3,AC=BC=5,则CG=4;
∴S五边形BFPEA=S△ABC=
×6×4=12.
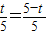
②∵QE∥AB∥CD,
∴△AQE∽△ACD,
∴
,即
,QE=
;
过P作PH⊥EF于H,
由①易得:cos∠APH=cos∠ACG=
,
故PH=
PQ=
(5-2t);
设△PEQ的面积为y,则
,
∴当
时,y最大=
,
∴
.
点评:此题主要考查了平行四边形的性质、相似三角形的判定和性质、全等三角形的性质、等腰三角形的性质以及二次函数最值的应用等知识,综合性强,难度较大.
(2)由于AD=AC,且QE∥CD,所以△AQE也是等腰三角形,即AQ=AE,由P、Q的速度可知:CP=AE=AQ,进而可求得CQ=AP,同理可证得△CFQ也是等腰三角形,即CF=CQ,由此得CF=AP,已求得AE=PC,而∠DAC=∠FCP,由此可证得△FCP≌△PAE,即可证得PF=PE,即△PEF是等腰三角形.
(3)①由(2)的全等三角形知:△AEP、△EPC的面积相等,因此五边形的面积可转化为△ABC的面积,所以五边形的面积是个定值;
②由(1)的相似三角形,易求得QE的表达式,分别过C、P作AB、EF的垂线CG、PH,交AB于G,交EF于H,根据等腰三角形三线合一的性质,易求得AG、BG的值,进而可求得∠ACG(即∠EPH)的余弦值,即可根据PQ的长表示出QE边上的高PH的值,由三角形的面积公式,可得关于△PQE的面积和t的函数关系式,根据函数的性质即可得到△PQE的最大面积,从而求得其面积的取值范围.
解答:(本题12分)
解:(1)由题意知AE=BF=CP=t,AP=5-t,
在?ABCD中,AD=BC=AC=5,AB=EF=CD=6,
当PE∥CD时,△APE∽△ACD,
∴
∴t=2.5.
(2)是等腰三角形.
证明:在?ABCD中,AD=BC=AC=5,AB=EF=CD=6,∴∠CAB=∠CBA,
∵AB∥EF,∴∠CQF=∠CAB,∠CFQ=∠CBA,
∴∠CFQ=∠CQF,∴CF=CQ,
∴AQ=BF=AE,∴AP=CQ=CF,
∵AD∥BC,∴∠PAE=∠FCP,
∴△PAE≌△FCP(SAS),∴PE=PF.
(3)①是定值,为12.
理由:由(2)的全等三角形知:S△AEP=S△PCF,即S五边形BFPEA=S△ABC;
过C作CG⊥AB于G,
等腰△ACB中,AG=BG=3,AC=BC=5,则CG=4;
∴S五边形BFPEA=S△ABC=
②∵QE∥AB∥CD,
∴△AQE∽△ACD,
∴
过P作PH⊥EF于H,
由①易得:cos∠APH=cos∠ACG=
故PH=
设△PEQ的面积为y,则
∴当
∴
点评:此题主要考查了平行四边形的性质、相似三角形的判定和性质、全等三角形的性质、等腰三角形的性质以及二次函数最值的应用等知识,综合性强,难度较大.
练习册系列答案
相关题目