题目内容

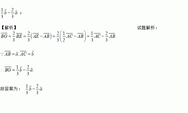
如图,在△ABC中,AD是中线,G是重心, =, =,那么向量关于、的分解式为 .

; 【解析】试题解析: 故答案为:
  • 试题答案
  • 相关练习册答案
练习册系列答案
  • 暑假生活微指导四川师范大学电子出版社系列答案
  • 高考大突破黄金考卷绿色假期暑假作业新世纪出版社系列答案
  • 暑假作业团结出版社系列答案
  • 愉快的暑假南京出版社系列答案
  • 千里马走向假期期末仿真试卷系列答案
  • 效率暑假江苏人民出版社系列答案
  • 天下一卷暑假作业正能量吉林大学出版社系列答案
  • 时习之期末加暑假延边大学出版社系列答案
  • 学期复习一本通学习总动员期末加暑假延边人民出版社系列答案
  • 芒果教辅暑假天地重庆出版社系列答案
  • 相关题目

    计算(2m2n2)2•3m2n3的结果是  .

    12m6n7 【解析】原式=.

    岳飞是我国古代宋朝的民族英雄,曾任通泰镇抚史、兼泰州知州.据说在泰州抗击金兵期间,有一次曾向将领们讲了如下一个布阵图,如图4是一座城池,在城池的四周设了八个哨所,一共由24个卫士把守,按直线算,每边都有11个人,后来由于军情发生变化,连续四次给哨所增添兵力,每次增加4人,但要求在增加人员后,仍然保持每边11个人把守.请问,兵力应如何调整?

    见解析 【解析】试题分析:如果设角上有x人,边上有y人,有:2x+y=11,这是一条直线上的.4x+4y=24,这是所有哨所的.显然x=5,y=1.现在要添加4人,要求添加后每条直线上仍有11人,则有:2x+y=11,4x+4y=28,解得x=4,y=3.因此第一次增加兵力后,应调整为:4人,3人,4人;3人,城池,3人;4人,3人,4人.同理可得第二次:3人,5人,3人;5人,城池,5人;...

    如图,已知圆心角∠AOB=100°,则圆周角∠ACB的度数为(  )

    A. 100° B. 80° C. 50° D. 40°

    C 【解析】∵圆心角∠AOB和圆周角∠ACB所对的弧相同, ∴∠ACB=∠AOB=50°, 故选C.

    如图,已知OC是⊙O半径,点P在⊙O的直径BA的延长线上,且OC⊥PC,垂足为C.弦CD垂直平分半径AO,垂足为E,PA = 6.

    求:(1)⊙的半径;

    (2)求弦CD的长.

    (1)r=6;(2). 【解析】试题分析: 弦CD垂直平分半径AO, 则 推出 OC⊥PC,可以推出 即可求出的半径. 根据垂径定理求出,即可求出的长. 试题解析: 弦CD垂直平分半径AO, 则 OC⊥PC, 解得: 的半径为6.

    如果沿一条斜坡向上前进20米,水平高度升高10米,那么这条斜坡的坡比为 .

    【解析】试题解析: 如图所示:AC=20米,BC=10米, 则米, 则坡比 故答案为:

    在△ABC中,点D、E分别在AB、AC的延长线上,下列不能判定DE//BC的条件是

    A. ; B. ;

    C. ; D. .

    B 【解析】试题解析:如图: ∵EA:AC=DA:AB, ∴DEBC,故A正确; ∵EA:EC=DA:DB, ∴DEBC,故C正确; ∵AC:EC=AB:DB, ∴DEBC,故D正确; 故不能够判断DEBC的是B. 故选B.

    若式子+(k-1)0有意义,则一次函数y=(k-1)x+1-k的图象可能是(  )

    A. B. C. D.

    B 【解析】∵式子+(k-1)0有意义, ∴ ,解得: , ∴k-1>0,1-k<0, ∴一次函数y=(k-1)x+1-k的图象可能是B. 故选B.

    如图,一次函数的图象与反比例函数的图象相交于A、B两点.

    (1)利用图中的条件,求反比例函数和一次函数的解析式;

    (2)根据图象直接写出一次函数的值大于反比例函数的x的取值范围.

    (1),y=2x-2;(2)x>2或-1

    违法和不良信息举报电话:027-86699610 举报邮箱:58377363@163.com

    精英家教网
    • 首页
    • 练习册答案
    • 课本点读
    • 寒假作业答案
    • 暑假作业答案
    • 试题分类
    退出登录
    关 闭

    试题分类

    高中
    数学英语物理化学生物地理
    初中
    数学英语物理化学生物地理
    小学
    数学英语
    其他
    阅读理解答案已回答习题未回答习题题目汇总试卷汇总练习册解析答案