题目内容
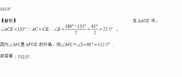
如图,延长正方形ABCD的边BC至E,使CE=AC,则∠AFC=________.
假如一只小猫在如图所示的地板上自由地走来走去,并随意停留在某块方砖上,它最终停留在黑色的方砖上的概率是_____.
某校计划组织师生共300人参加一次大型公益活动,如果租用6辆大客车和5辆小客车恰好全部坐满,已知每辆大客车的乘客座位数比小客车多17个.
(1)求每辆大客车和每辆小客车的乘客座位数;
(2)由于最后参加活动的人数增加了30人,学校决定调整租车方案,在保持租用车辆总数不变的情况下,为将所有参加活动的师生装载完成,求租用小客车数量的最大值.
等腰三角形一腰上的高与另一腰的夹角为30°,则底角的度数为( )
A. 60° B. 120° C. 60°或120° D. 60°或30°
如图,在矩形ABCD中,点O在边AB上,∠AOC=∠BOD.求证:AO=OB.
如图,在矩形ABCD中,AD=2AB,点E,F分别是AD,BC的中点,连接AF与BE,CE与DF分别交于点M,N两点,则四边形EMFN是( )
A. 正方形 B. 菱形 C. 矩形 D. 无法确定
若一个正方体木块的体积是3 m3,现将它锯成8个同样大小的小正方体木块,求每个小正方体木块的表面积.
问题发现:如图,直线是AB与AD之间的一点,连接,可以发现.
请把下面的证明过程补充完整:
证明:过点E作,
已知辅助线的作法.
_____
______
同理.
等量代换
即.
拓展探究:如果点E运动到图所示的位置,其他条件不变,进一步探究发现: ,请说明理由.
解决问题:如图,请直接写出的度数.
如图,四边形ABCD中,∠BAD=∠ACB=90°,AB=AD,AC=4BC,设CD的长为x,四边形ABCD的面积为y,则y与x之间的函数关系式是( )
A. y= B. y= C. y= D. y=