题目内容
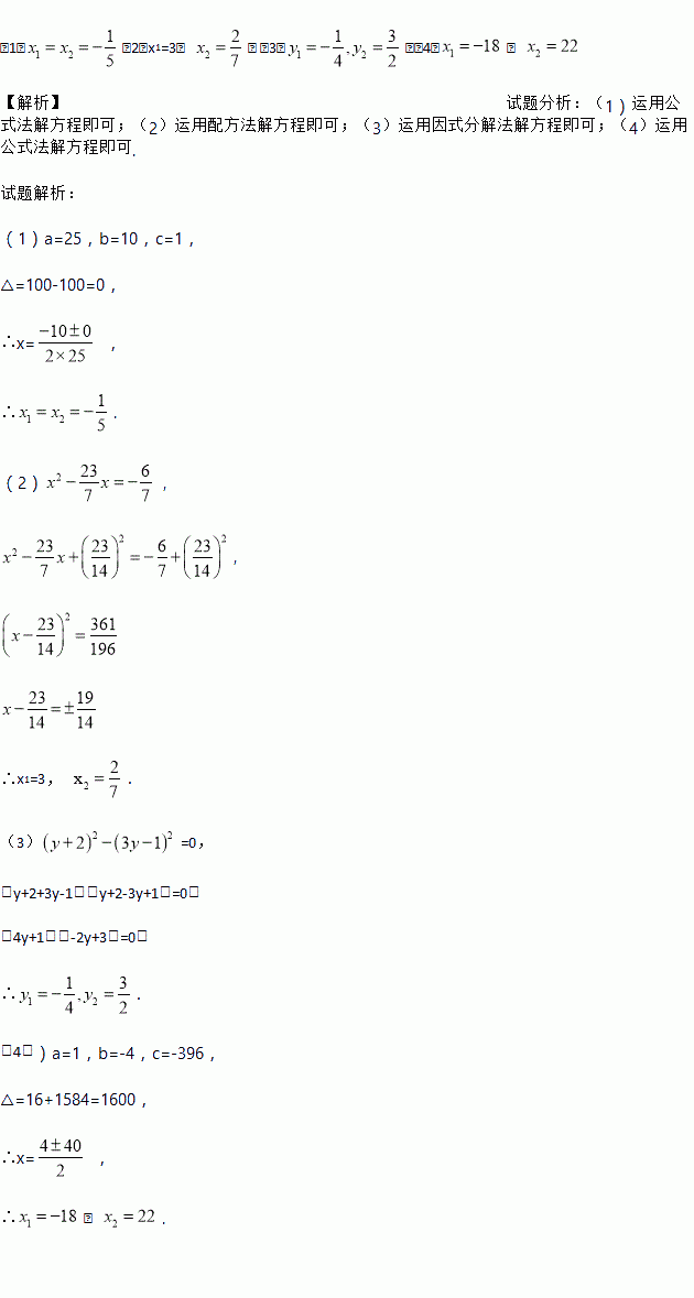
解下列方程
(1)25x2+10x+1=0(公式法) (2) 7x2 -23x +6=0;(配方法)
(3) (分解因式法) (4)x2-4x-396=0(适当的方法)
某工厂现在平均每天比原计划多生产50台机器,现在生产600台机器所需时间与原计划生产450台机器所需时间相同.设原计划平均每天生产x台机器,根据题意,下面所列方程正确的是( )
A. B. C. D.
小李想用篱笆围成一个周长为60米的矩形场地,矩形面积S(单位:平方米)随矩形一边长x(单位:米)的变化而变化.
(1)求S与x之间的函数关系式,并写出自变量x的取值范围;
(2)当x是多少时,矩形场地面积S最大,最大面积是多少?
如果三角形的两边长分别是方程x2﹣8x+15=0的两个根,那么连接这个三角形三边的中点,得到的三角形的周长可能是( )
A. 5.5 B. 5 C. 4.5 D. 4
已知:如图,平行四边形ABCD的两条对角线相交于点O,BE⊥AC,CF⊥BD,垂足分别为E,F.且BE=CF.
求证:平行四边形ABCD是矩形.
若,则的值为_________.
如图,在△ABC中,AB=3,AC=4,BC=5,P为边BC上一动点,PE⊥AB于E,PF⊥AC于F,则EF的最小值为( )
A. 2 B. 2.2 C. 2.4 D. 2.5
如图△ABC中,AD是BC上的中线,BE是△ABD中AD边上的中线,若△ABC的面积是24,则△ABE的面积是__.
若关于x的不等式组的解集是2≤x<5,求m+n的值.