题目内容
已知二次函数
自变量x与函数值y之间满足下列数量关系:
x | -3 | -2 | -1 | 0 | 1 | 2 | 3 | 4 | 5 |
y | 15 | 8 | 3 | 0 | -1 | 0 | 3 | 8 | 15 |
那么
的值为( )
A. -2 B. -1 C. 0 D. 1
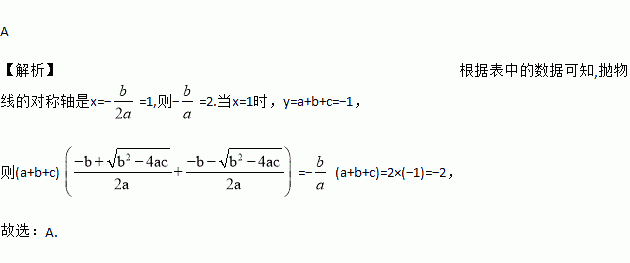
A 【解析】根据表中的数据可知,抛物线的对称轴是x=?=1,则?=2.当x=1时,y=a+b+c=?1, 则(a+b+c) =? (a+b+c)=2×(?1)=?2, 故选:A.
练习册系列答案
相关题目
题目内容
已知二次函数
自变量x与函数值y之间满足下列数量关系:
x | -3 | -2 | -1 | 0 | 1 | 2 | 3 | 4 | 5 |
y | 15 | 8 | 3 | 0 | -1 | 0 | 3 | 8 | 15 |
那么
的值为( )
A. -2 B. -1 C. 0 D. 1
A 【解析】根据表中的数据可知,抛物线的对称轴是x=?=1,则?=2.当x=1时,y=a+b+c=?1, 则(a+b+c) =? (a+b+c)=2×(?1)=?2, 故选:A.