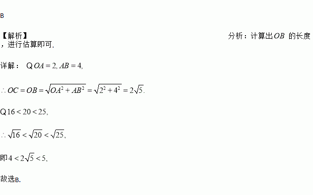
题目内容
如图,在数轴上,点O对应数字O,点A对应数字2,过点A作AB垂直于数轴,且AB=4,连接OB,绕点O顺时针旋转OB,使点B落在数轴上的点C处,则点C所表示的数介于( )
![]()
A. 3和4之间 B. 4和5之间 C. 5和6之间 D. 6和7之间
练习册系列答案
相关题目
在一次中学生田径运动会上,参加跳高的15名运动员的成绩如下表所示:
成绩(m) | 1.50 | 1.60 | 1.65 | 1.70 | 1.75 | 1.80 |
人数 | 1 | 2 | 4 | 3 | 3 | 2 |
这15名运动员跳高成绩的中位数是( )
A. 4 B. 1.70 C. 1.75 D. 1.65