题目内容
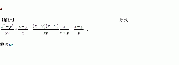
计算(﹣)÷的结果为( )
A. B. C. D.
如图,在△ABC中,D,E分别为AB,AC边上的点,DE∥BC,点F为BC边上一点,连接AF交DE于点G,则下列结论中一定正确的是( )
2017的相反数是________
定义:如果二次函数y=a1x2+b1x+c1(a1≠0,a1,b1,c1是常数)与y=a2x2+b2x+c2(a2≠0,a2,b2,c2是常数)满足a1+a2=0,b1=b2,c1+c2=0,则称这两个函数互为“旋转函数”.写出y=﹣x2+3x﹣2函数的“旋转函数”_____.
如图,在矩形ABCD中,已知AB=4,BC=3,矩形在直线上绕其右下角的顶点B向右旋转90°至图①位置,再绕右下角的顶点继续向右旋转90°至图②位置,…,以此类推,这样连续旋转2016次后,顶点A在整个旋转过程中所经过的路程之和是( )
A. 2015π B. 3019.5π C. 3018π D. 3024π
在数﹣2,﹣ ,1,3中,大小在﹣1和0之间的数是( )
A. ﹣2 B. ﹣ C. 1 D. 3
求不等式组的整数解。
下列图标中是轴对称图形的是( )
在反比例函数y=图象在二、四象限,则k的取值范围是( )
A. k>3 B. k>0 C. k<3 D. k<0