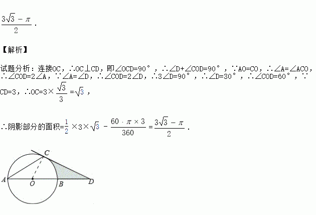
题目内容
如图,AB是⊙O的直径,AC是⊙O的弦,过点C的切线交AB的延长线于点D,若∠A=∠D,CD=3,则图中阴影部分的面积为 .
![]()
练习册系列答案
相关题目
十八世纪瑞士数学家欧拉证明了简单多面体中顶点数(V)、面数(F)、棱数(E)之间存在的一个有趣的关系式,被称为欧拉公式请你观察下列几种简单多面体模型,解答下列问题:
![]()
(1)根据上面多面体的模型,完成表格中的空格:
多面体 | 顶点数(V) | 面数(F) | 棱数(E) |
四面体 | 4 | 4 | |
长方体 | 8 | 12 | |
正八面体 | 8 | 12 | |
正十二面体 | 20 | 12 | 30 |
(2)你发现顶点数(V)、面数(F)、棱数(E)之间存在的关系式是E=________;
(3)一个多面体的面数比顶点数大8,棱数为30,则这个多面体的面数是多少?
6;6;6 【解析】试题分析: (1)由图形可得; (2)观察可得顶点数+面数-棱数=2; (3)代入(2)中的式子即可得到面数; 试题解析: (1)6;6;6 (2)四面体的棱数为6;正八面体的顶点数为6;关系式为:V+F﹣E=2; (3)由题意得:F﹣8+F﹣30=2, 解得F=20.