题目内容
如图,在四边形ABCD中,AD∥BC,∠A=90°,对角线BD⊥CD,AD=3,AB=4,求边BC的长.
【答案】分析:根据∠A=∠BDC=90°以及平行线的内错角相等,不难得出三角形ABD和DBC相似,那么可得出关于AD、BD、BC的比例关系,有了AD、AB的值,可通过勾股定理求出BD的长,这样就能求出BC的长了.
解答:解:∵AD∥BC,
∴∠ADB=∠CBD.
∵BD⊥CD,∠A=90°,
∴∠BDC=∠A=90°.
∴△ABD∽△DCB.
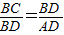
∴
.
∵AD=3,AB=4,
∴BD=5.
∴
.
∴
.
点评:本题主要考查了相似三角形的判定和性质,通过相似三角形得出相关线段成比例从而求出线段的长是本题的基本思路.
解答:解:∵AD∥BC,
∴∠ADB=∠CBD.
∵BD⊥CD,∠A=90°,
∴∠BDC=∠A=90°.
∴△ABD∽△DCB.
∴
∵AD=3,AB=4,
∴BD=5.
∴
∴
点评:本题主要考查了相似三角形的判定和性质,通过相似三角形得出相关线段成比例从而求出线段的长是本题的基本思路.
练习册系列答案
相关题目