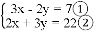
题目内容
如图,在菱形ABCD中,
.点E、F分别是边AB、AD上的点,且满足,连结EF.![]()
(1)求证: 为等腰三角形;![]()
(2)若,求![]()
的面积;![]()
(3)若G是CE的中点,连结BG并延长交DC于点H,连结FH,求证:. ![]()
![]()
练习册系列答案
相关题目
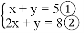
题目内容
如图,在菱形ABCD中,
.点E、F分别是边AB、AD上的点,且满足,连结EF.![]()
(1)求证: 为等腰三角形;![]()
(2)若,求![]()
的面积;![]()
(3)若G是CE的中点,连结BG并延长交DC于点H,连结FH,求证:. ![]()
![]()