29.(16分)某化学课外兴趣小组为探究铜跟硫酸的反应情况,设计了下图所示装置进行有关实验:
回答下列问题:(提示:为书写方便,环己烷常用键线式表示:即写成 )
①金丝桃素分子的PMR谱上有 个峰。
②金丝桃素能与NaOH水溶液加热反应得到A和B,B为芳香族化合物,写出B的结构简式: ,该反应属于 反应。
③室温下,B用稀盐酸酸化得C,下列物质中不能和C发生反应的是 (填序号)。
a.Na2CO3溶液 b.H2(催化剂加热) c.CH3CH2CH2CH3 d.Na e.O2(催化剂加热)
④写出两分子C与浓H2SO4共热生成八元环状物的化学方程式:
。
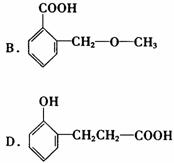
⑤下列物质与C互为同分异构体的有 。
乙醛的结构式为:,其PMR谱中有2个信号峰,其强度之比为3∶1。
(1) 下列有机物分子中,在质子核磁共振谱中只给出一种峰(信号)的是 。
A.CH3-CH3 B.CH3COOH C.CH3COOCH3 D.CH3COCH3
(2) 化合物A的分子式为C2H4Br2,如A的PMR谱上只有1个峰,则A的结构简式为 。
28.(16分)核磁共振谱是测定有机物分子结构最有用的工具之一。瑞士科学家维特里希等三人便是利用核磁共振技术测定生物大分子的三维结构而获得2002年诺贝尔化学奖。在有机物分子中,不同位置的氢原子在质子核磁共振谱(PMR)中给出的峰值(信号)不同,根据峰值(信号)可以确定有机物分子中氢原子的种类和数目。例如:
C.1 mol F 0.5 mol B 1 mol I D.3 mol I 1 mol Ne
(4)已知在一定条件下每1molF与单质B完全反应生成1mol I放热98.0kJ,若2molF与1molB在此条件下发生反应,达平衡时,放出热量为176.4kJ,则F的转化率为 。若保持温度和压强不变(反应混合物都为气体)按下列四种配比作为起始物质充入,达到平衡时各物质的物质的量与上述平衡状态相同的是 。(填序号)
A.4 mol F 2mol B B.2 mol F 1 mol B 2 mol I