5.单克隆抗体具有很强特异性的直接原因是
A.分子结构具有特异性 B.基因结构具有特异性
C.抗原的抗原决定簇具有特异性 D.合成场所的特异性
4.早春播种前犁地时,人们常将粪肥深施于土壤中。下列与此无直接关系的是
A.使植物根系发达 B.有利于根吸收水和矿质元素
C.提高了土壤的温度,有利于植物的早期发育D.防止杂草利用养分,抑制杂草生长
3.如果三体或缺体的染色体病是由于减数第一次分裂异常所致,且发生异常的几率为P,则初级精母细胞产生异常配子的几率是
A.P B.1-P C.1/2P D.1/4P
2.水稻种子的萌发过程中不会发生的是
A.合成生长素 B.细胞分化C.有机物种类增加 D.细胞体积逐渐减小
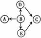
1.右图所示最可能是
A.哺乳动物的精子B.原生动物 C.病毒D.细菌
32.(5分)以下是某兴趣小组的同学探究禽流感病毒遗传物质的实验设计。
实验目的:探究禽流感病毒的遗传物质是DNA还是RNA。
材料用具:显微注射器、禽流感病毒的核酸提取液、活鸡胚、DNA酶、RNA酶等。
实验步骤:
第一步,取等量的活鸡胚两组,用显微注射投术,分别向两组活鸡胚细胞中注射有关物质;
第二步,在适宜条件下培养;
第三步,分别从培养后的鸡胚中抽取样品,检测是否含有禽流感病毒。
请你根据上述设计思路填写下表:
31.(8分)荔枝是著名的岭南佳果,其果皮中存在多酚氧化酶,多酚氧化酶能够氧化果皮中的一些无色物质,形成褐色物质。这是引起采后荔枝果皮褐变的原因之一。褐变的发生严重影响了荔枝的保鲜效果.果皮褐变面积的百分率,常作为荔枝保鲜效果的指标。在不考虑其他因素影响褐变的前提下,利用上述现象,以荔枝褐变面积百分率为多酚氧化酶活性的指标,某同学设计了一个实验,旨在探究温度对荔枝果皮内多酚氧化酶活性的影响。
(1)请依据上述材料补充下列实验设计中的空缺内容:
①设计温度梯度:5℃、10℃、15℃、20℃、25℃、30℃
②确定测量指标:___________________
③选择同一品种、____和成熟度一致且无机械损伤的新
鲜荔枝,将其分成____组,每组数量____?装入保鲜袋并做好标签后,分别放入相应温度的恒温箱中。
④经过5d后,取出荔枝果实,测定并记录褐变面积。
(2)根据上图分析实验结果:
________________________________________
(3)请结合上述实验结果,指出对荔枝具有较好保鲜效果所需的温度范围________。
(4)苹果和马铃薯细胞中也含有多酚氧化酶,削皮后的苹果和马铃薯容易发生褐变,请据此分析要选择无机械损伤的荔枝为实验材料的原因:
(5)茌完全无氧条件下,多酚氧化酶将无法催化上述的褐变反应过程。如果在此条件下,荔枝果皮不会发生褐变,可否在此条件下储存荔枝?____。为什么?________________________________________________
30.(9分)右图是某个生态系统中的食物网简图,请据图回答:
(1)该食物网中的肉食动物是 ,含能量
最多的是 ,A生物与E生物的关系是 。
(2)若B生物种群总能量为7.1×l09 kj,A生物种群总能量为2.3×108 kJ,从理论上计算C储存的总能量最少为 kj。在该生态系统的能量流动过程中B生物种群的能量除了图中所示的分配外,其余能量的去向还有
(3)若A种群生物量减少,E和D种群将如何变化?
(4)右图是食物链“树→昆虫→食虫鸟”的两个金字塔。
其中左边为 金宇塔,右边为 金字塔。
两个金字塔不同的原因是:
29.(6分)为加快优良种牛的繁殖速度,科学家采用了以下两种方法:
请据图的信息回答:
(1)试管牛与克隆牛的培育过程中均用到的细胞工程技术有
(2)用来促进B牛多排卵的激素是 分泌的促性腺激素,E牛的性别是
(3)产生F牛的生殖方式属于 。
(4)要培养高产奶率的转基因牛,一般将目的基因导入的受体细胞是 ;如果要获得能表达出人干扰素的目的基因,则需要从人体的哪种细胞中获得? 。
28.(7分)细胞通讯是细胞间或细胞内高度精确和高效地发送与接收信息的通讯机制,是一种对环境作出综合反应的细胞行为。下图A、B所示细胞通讯方式为人体内常见的两种不同类型的信号分子及其信号传导方式,C、D表示不同的信号分子对靶细胞作用的方式。
请据图回答问题:
(1)在人体内,图A所示过程中的信号分子最有可能是激素,如果图A过程表示的是胰岛素分子对机体的作用过程,那么参与胰岛素合成和分泌的细胞器有
(不得少于三种)。
(2)根据C、D可知靶细胞上接受信号分子的受体有两种,一类是细胞表面受体,一类是细胞内受体。信号分子与受体结合的部位与细胞膜的特性以及信号分子的化学性质有关。下列物质中,最有可能属于信号分子,并且通过细胞内的某些物质选择性的识别和结合而实现的是 。
A.唾液淀粉酶 B.性激素 C.生长激素 D.呼吸氧化酶
(3)如果图B所示的靶细胞为人体唾液腺细胞,那么从神经调节方式的组成结构来看,[2]应该属于 神经。结构[3]的名称是_______;结构[3]释放的物质叫______,识别接受结构[3]所释放物质的主要是该靶细胞膜上的 物质(写化学本质)。
(4)细胞完成信号应答之后,要进行信号解除,终止细胞应答:已知[3]所释放的某种物质可使该靶细胞发生兴奋分泌唾液,当完成一次兴奋传递后,该种物质立即被分解。现有某种药物
可以阻止该种物质的分解,这种药物的即时效应是 。
A.[2]持续性兴奋 B.靶细胞持续性兴奋并分泌唾液
C.[2]持续性抑制 D.靶细胞持续性抑制不再分泌唾液