(7分)(1)用螺旋测微器测一圆形工件的直径,情况如下图所示,读数为 mm。
![]()
(2)下图是某同学设计的探究橡皮筋的弹性势能Ep与伸长量d之间关系的实验装置。他进行了如下操作:将长木板放在桌面上调至水平,橡皮筋一端固定在墙上,另一端被小车拉长了d,小车由静止释放后带动穿过打点计时器的纸带沿长木板运动。共做了三次实验,各次小车由静止开始运动的位置不同(即橡皮筋的伸长量d不同),分别打出三条纸带。打点计时器电源的频率为50Hz。
![]()
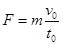
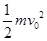
①该同学利用纸带已经算出了第3次实验小车的最大速度,请你根据第1次和第2 次实验得到的纸带对应的数据算出这两次实验小车的最大速度并填在表格对应的位置上。(下图为打点计时器连续打出的点的一部分)
|
实验次序 |
1 |
2 |
3 |
|
d /cm |
5.00 |
10.00 |
20.00 |
|
vmax/(m·s-1) |
|
|
4.0 |
![]()
②下列关于该实验的叙述正确的是
a.本实验是根据橡皮筋的弹性势能Ep等于小车的最大动能来探究Ep与橡皮筋的伸长量d之间的函数关系的
b.小车在橡皮筋的作用下做匀加速直线运动
c.实验误差的主要来源是水平木板对小车的摩擦阻力
d.根据表格中的数据可以分析出,在误差允许范围内Ep与d成正比例函数关系
(8分)某学习小组通过实验来研究电器元件Z的伏安特性曲线。他们在实验中测得电器元件Z两端的电压与通过它的电流的数据如下表:
|
U/V |
0.00 |
0.20 |
0.50 |
1.00 |
1.50 |
2.00 |
2.50 |
3.00 |
|
I/A |
0.000 |
0.050 |
0.100 |
0.150 |
0.180 |
0.195 |
0.205 |
0.215 |
现备有下列器材:
A.内阻不计的6V电源;
B.量程为0~3A的内阻可忽略的电流表;
C.量程为0~0.3 A的内阻可忽略的电流表;
D.量程为0~3V的内阻很大的电压表;
E.阻值为0~10Ω,额定电流为3A的滑动变阻器;
F.电键和导线若干。
(1)这个学习小组在实验中电流应选 (填器材前面的字母)
(2)请你从下面的实验电路图中选出最合理的一个
![]()
(3)利用表格中数据绘出的电器元件Z的伏安特性曲线,如图所示,分析曲线可知该电器元件Z的电阻随U变大而 (填 “变大”、“变小”或“不变” );
![]()
(4)若把用电器Z接入如图所示的电路中时,电流表的读数为0.150A,已知A、B两端电压恒为2V,则定值电阻R0 阻值为_______Ω。(结果保留两位有效数字)
![]()