题目内容

空间站绕地球做匀速圆周运动,其运动周期为T,轨道半径为r,万有引力常量为G,地球表面重力加速度为g。下列说法正确的是

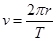
A.空间站的线速度大小为v=

B.地球的质量为M=

C.空间站的线速度大小为v=

D.空间站质量为M=

 

【答案】

BC

【解析】

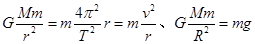
试题分析:根据万有引力定律和牛顿第二定律有可得,空间站的线速度大小所以选项A错误;地球的质量,所以选项B正确;由圆周运动公式可知,线速度,所以选项C正确;由题目条件无法求得空间站的质量,所以选项D错误;

考点:万有引力定律及应用

 

练习册系列答案
相关题目

(1)图甲中游标卡尺读数为        mm,图乙中螺旋测微器读数为         mm

 

 

 

 

 

 

 

 

 

(2)在验证机械能守恒定律的实验中,某同学使用50Hz交变电流作电源,在打出的纸带上选择5个计数点ABCDE,相邻两个计数点之间还有4个点没有画出,他测量了C点到A点、和E点到C点的距离,如图丙所示。则纸带上C点的速度

      m/s,重锤的加速度为        m/s2

 

 

 

 

 

(3)2011年11月3日凌晨,我国“神舟八号”飞船与“天宫一号”目标飞行器首次成功实现了空间交会对接试验,这是我国载人太空飞行的又一个里程碑.设想在未来的时间里我国已经建立了载人空间站,空间站绕地球做匀速圆周运动而处于完全失重状态,此时无法用天平称量物体的质量,某同学设计了在这种环境中测量小球质量的实验装置,如图所示:光电传感器B能够接受光源A发出的细激光束,若B被挡光就将一个电信号传给与之连接的电脑,将弹簧测力计右端用细线水平连接在空间站壁上,左端栓在另一穿过了光滑水平小圆管的细线MON上,N处系有被测小球,让被测小球在竖直面内以O点为圆心做匀速圆周运动.

 

实验时,从电脑中读出小球自第1次至第n次通过最高点的总时间t和测力计示数F,除此之外,还需要测量的物理量是:                  ;被测小球质量的表达式为m=               [用物理量的符号表示].

 

(1)图甲中游标卡尺读数为        mm,图乙中螺旋测微器读数为         mm

 

 

 

 

 

 

 

 

 

(2)在验证机械能守恒定律的实验中,某同学使用50Hz交变电流作电源,在打出的纸带上选择5个计数点ABCDE,相邻两个计数点之间还有4个点没有画出,他测量了C点到A点、和E点到C点的距离,如图丙所示。则纸带上C点的速度

       m/s,重锤的加速度为        m/s2

 

 

 

 

 

(3)2011年11月3日凌晨,我国“神舟八号”飞船与“天宫一号”目标飞行器首次成功实现了空间交会对接试验,这是我国载人太空飞行的又一个里程碑.设想在未来的时间里我国已经建立了载人空间站,空间站绕地球做匀速圆周运动而处于完全失重状态,此时无法用天平称量物体的质量,某同学设计了在这种环境中测量小球质量的实验装置,如图所示:光电传感器B能够接受光源A发出的细激光束,若B被挡光就将一个电信号传给与之连接的电脑,将弹簧测力计右端用细线水平连接在空间站壁上,左端栓在另一穿过了光滑水平小圆管的细线MON上,N处系有被测小球,让被测小球在竖直面内以O点为圆心做匀速圆周运动.

 

实验时,从电脑中读出小球自第1次至第n次通过最高点的总时间t和测力计示数F,除此之外,还需要测量的物理量是:                   ;被测小球质量的表达式为m=                [用物理量的符号表示].

 

违法和不良信息举报电话:027-86699610 举报邮箱:58377363@163.com

精英家教网