题目内容

质量为m的物体放在水平面上,它与水平面间的动摩擦因数为μ,重力加速度为g。用水平力拉物体,运动一段时间后撤去此力,最终物体停止运动。物体运动的v-t图象如图所示。下列说法正确的是

A.水平拉力大小为

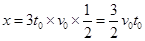
B.物体在3t0时间内位移大小为v0t0

C.在0~3t0时间内水平拉力做的功为

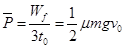
D.在0~3t0时间内物体克服摩擦力做功的平均功率为

 

【答案】

BD

【解析】

试题分析:根据图像和牛顿第二定律可知,故选项A错误;由图像面积可知,在3t0时间内的位移为,所以选项B正确;由图像和动能定理可知,故水平拉力做的功,选项C错误;克服摩擦力做功的平均功率为,所以选项D正确;

考点:运动学图像、动能定理

 

练习册系列答案
相关题目

违法和不良信息举报电话:027-86699610 举报邮箱:58377363@163.com

精英家教网