题目内容
如图所示,在长为L=75cm的静止竖直筒中有一大小不计的小球,筒与球的总质量为4kg.现对筒施加一竖直向下大小为21N的恒力,使筒竖直向下运动,经t=0.5s,小球恰好到达筒口,求小球的质量.
【答案】分析:小球与筒底分离,而做自由落体运动,筒在外力作用下加速运动,根据运动学基本公式及小球与筒的位移关系求出筒的加速度,再根据牛顿第二定律即可求得质量.
解答:解:小球与筒底分离,而做自由落体运动:
筒竖直向下的位移为:h2=h1+L=2m
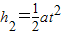
筒在外力作用下加速运动,由
得:
对筒由牛顿第二定律可得:F+m2g=m2a
解之得:m2=3.5kg
小球的质量:m1=M-m2=0.5kg
答:小球的质量为0.5kg.
点评:本题主要考查了牛顿第二定律及运动学基本公式的直接应用,难度适中.
解答:解:小球与筒底分离,而做自由落体运动:
筒竖直向下的位移为:h2=h1+L=2m
筒在外力作用下加速运动,由
得:
对筒由牛顿第二定律可得:F+m2g=m2a
解之得:m2=3.5kg
小球的质量:m1=M-m2=0.5kg
答:小球的质量为0.5kg.
点评:本题主要考查了牛顿第二定律及运动学基本公式的直接应用,难度适中.
练习册系列答案
相关题目