题目内容
运动员驾驶摩托车做腾跃特技表演是一种刺激性很强的运动项目.如图所示,AB是水平路面,BC是半径为20m的圆弧,CDE是一段曲面.运动员驾驶功率始终是P=1.8kW的摩托车在AB段加速,到B点时速度达到最大υm=20m/s,再经t=13s的时间通过坡面到达E点时,关闭发动机后水平飞出.已知人和车的总质量m=180kg,坡顶高度h=5m,落地点与E点的水平距离s=16m,重力加速度g=10m/s2.如果在AB段摩托车所受的阻力恒定,求(1)AB段摩托车所受阻力的大小;
(2)摩托车过B点时受到地面支持力的大小;
(3)摩托车在冲上坡顶的过程中克服阻力做功.
【答案】分析:对人和车在B点分析,找出向心力的来源列出等式.
运用平抛运动规律求解平抛的初速度.
摩托车在斜坡上运动时,应用动能定理求出问题.
解答:解:(1)摩托车在水平面上已经达到了最大速度,牵引力与阻力相等.则
P=Fυ=fυ
N
(2)摩托车在B点,进行受力分析,由牛顿第二定律得:
=5400N
由牛顿第三定律得地面支持力的大小为5400N.
(3)对摩托车的平抛运动过程,有
s
平抛的初速度
m/s
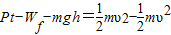
摩托车在斜坡上运动时,由动能定理得
求得Wf=27360J
答:(1)AB段摩托车所受阻力的大小是90N;
(2)摩托车过B点时受到地面支持力的大小是5400N;
(3)摩托车在冲上坡顶的过程中克服阻力做功是27360J.
点评:对于圆周运动分析关键要找到向心力的来源.
动能定理的应用范围很广,可以求速度、力、功等物理量,特别是可以去求变力功.
一个题目可能需要选择不同的过程多次运用动能定理研究.
运用平抛运动规律求解平抛的初速度.
摩托车在斜坡上运动时,应用动能定理求出问题.
解答:解:(1)摩托车在水平面上已经达到了最大速度,牵引力与阻力相等.则
P=Fυ=fυ
(2)摩托车在B点,进行受力分析,由牛顿第二定律得:
由牛顿第三定律得地面支持力的大小为5400N.
(3)对摩托车的平抛运动过程,有
平抛的初速度
摩托车在斜坡上运动时,由动能定理得
求得Wf=27360J
答:(1)AB段摩托车所受阻力的大小是90N;
(2)摩托车过B点时受到地面支持力的大小是5400N;
(3)摩托车在冲上坡顶的过程中克服阻力做功是27360J.
点评:对于圆周运动分析关键要找到向心力的来源.
动能定理的应用范围很广,可以求速度、力、功等物理量,特别是可以去求变力功.
一个题目可能需要选择不同的过程多次运用动能定理研究.
练习册系列答案
相关题目