题目内容

在“用单摆测定重力加速度”的实验中,测得单摆摆角小于5°,完成n次全振动的时间为t,用毫米刻度尺测得摆线长为L,用螺旋测微器测得摆球直径为d.
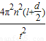
(1)用上述物理量的符号写出重力加速度的一般表达式g=______.
(2)从上图可知,摆球直径d的读数为______mm.

【答案】分析:(1)单摆摆长等于摆线长度与白球半径之和,由单摆周期公式求出重力加速度的表达式.
(2)螺旋测微器固定刻度与可动刻度示数之和是螺旋测微器的示数.
解答:解:(1)单摆周期T=,单摆摆长l=L+,由单摆周期公式T=2π
可得重力加速度g==
(2)由图示螺旋测微器可知,固定刻度示数为5.5mm,
可动刻度示数为48.0×0.01mm=0.480mm,
则螺旋测微器的示数为5.5mm+0.480mm=5.980mm;
故答案为:(1);(2)5.890.
点评:熟练应用单摆周期公式、掌握螺旋测微器的读数方法,即可正确解题.
练习册系列答案
相关题目
某实验小组在进行“用单摆测定重力加速度”的实验中,已知单摆在摆动过程中的摆角小于5°;在测量单摆的周期时,从单摆运动到最低点开始计时且记数为1,到第n次经过最低点所用的时间内为t;在测量单摆的摆长时,先用毫米刻度尺测得悬挂后的摆线长(从悬点到摆球的最上端)为L,再用游标卡尺测得摆球的直径为d.
(1)该单摆在摆动过程中的周期为
2t
n-1
2t
n-1

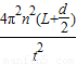
(2)用上述物理量的符号写出求重力加速度的一般表达式g=
(n-1)2π2(2l+d)
2t2
(n-1)2π2(2l+d)
2t2

(3)实验结束后,某同学发现他测得的重力加速度的值总是偏大,其原因可能是下述原因中的
BD
BD

A.单摆的悬点未固定紧,振动中出现松动,使摆线增长了
B.把n次摆动的时间误记为(n+1)次摆动的时间
C.以摆线长作为摆长来计算
D.以摆线长与摆球的直径之和作为摆长来计算
(4)为了提高实验精度,在实验中可改变几次摆长L并测出相应的周期T,从而得出一组对应的L与T的数据,再以L为横坐标、T2为纵坐标将所得数据连成直线,并求得该直线的斜率k.则重力加速度g=
4π2
k
4π2
k
.(用k表示)若根据所得数据连成的直线的延长线没过坐标原点,而是与纵轴的正半轴相交于一点,则实验过程中可能存在的失误是
摆长漏加小球半径
摆长漏加小球半径
,因此失误,由图象求得的重力加速度的g
无影响
无影响
偏大,偏小,无影响)
某实验小组在进行“用单摆测定重力加速度”的实验中,已知单摆在摆动过程中的摆角小于5°;在测量单摆的周期时,从单摆运动到最低点开始计时且记数为1,到第n次经过最低点所用的时间内为t;在测量单摆的摆长时,先用毫米刻度尺测得悬挂后的摆线长(从悬点到摆球的最上端)为L,再用游标卡尺测得摆球的直径为d.
(1)该单摆在摆动过程中的周期为
2t
n-1
2t
n-1

(2)用上述物理量的符号写出求重力加速度的一般表达式g=
(n-1)2π2(2l+d) 
2t2
(n-1)2π2(2l+d) 
2t2

(3)实验结束后,某同学发现他测得的重力加速度的值总是偏大,其原因可能是下述原因中的
BD
BD

A.单摆的悬点未固定紧,振动中出现松动,使摆线增长了
B.把n次摆动的时间误记为(n+1)次摆动的时间
C.以摆线长作为摆长来计算
D.以摆线长与摆球的直径之和作为摆长来计算
(4)某同学在做“用单摆测定重力加速度”的实验中,用秒表测单摆完成40次全振动的时间如图所示,则单摆的周期为
2.005
2.005
s.
(5)为了提高实验精度,在实验中可改变几次摆长L并测出相应的周期T,从而得出一组对应的L与T的数据,再以L为横坐标、T2为纵坐标将所得数据连成直线,并求得该直线的斜率k.则重力加速度g=
4π2
k
4π2
k
.(用k表示)若根据所得数据连成的直线的延长线没过坐标原点,而是与纵轴的正半轴相交于一点,则实验过程中可能存在的失误是
摆长漏加小球半径
摆长漏加小球半径
,因此失误,由图象求得的重力加速度的g
无影响
无影响
偏大,偏小,无影响)
某实验小组在进行“用单摆测定重力加速度”的实验中,已知单摆摆动过程中的摆角小于5°;在测量单摆的周期时,从单摆运动到最低点开始计时且记数为1,到第n次经过最低点所用的时间内为t;在测量单摆的摆长时,先用毫米刻度尺测得悬挂后的摆线长(从悬点到摆球的最上端)为L,再用游标卡尺测得摆球的直径为d.
(1)用上述物理量的符号写出求重力加速度的一般表达式g=
π2(n-1)2(L+
d
2
)
t2
π2(n-1)2(L+
d
2
)
t2

(2)实验结束后,某同学发现他测得的重力加速度的值总是偏大,其原因可能是下述原因中的
BD
BD

A.单摆的悬点未固定紧,振动中出现松动,使摆线增长了
B.把n次摆动的时间误记为(n+1)次摆动的时间
C.以摆线长作为摆长来计算
D.以摆线长与摆球的直径之和作为摆长来计算
(3)某同学在做“用单摆测定重力加速度”的实验中,用秒表测单摆完成40次全振动的时间如图所示,则单摆的周期为
1.995
1.995
s.
(4)为了提高实验精度,在实验中可改变几次摆长L并测出相应的周期T,从而得出一组对应的L与T的数据,再以L为横坐标、T2为纵坐标将所得数据连成直线,并求得该直线的斜率k.则重力加速度g=
4π2
k
4π2
k
.(用k表示)若根据所得数据连成的直线的延长线没过坐标原点,而是与纵轴的正半轴相交于一点,则实验过程中可能存在的失误是
摆长漏加小球半径
摆长漏加小球半径
,因此失误,由图象求得的重力加速度的g
无影响
无影响
(偏大,偏小,无影响)

违法和不良信息举报电话:027-86699610 举报邮箱:58377363@163.com

精英家教网