题目内容

如图所示,A、B、C、D分别为pV图中矩形的顶点,其中AB、CD为等容线,BD、AC为等压线.在A、B和C三点气体温度分别为TATBTC

求:(1)D点的温度TD

(2)矩形对角线交点H处的温度TH

答案:
解析:

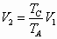
  (1) (2分)

   (1分)

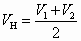
  (2)H点的状态参量为: (1分)

   (1分)

  (1分)

   (1分)

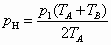
  将pHVH代入整理可得:

   (1分)


练习册系列答案
相关题目

违法和不良信息举报电话:027-86699610 举报邮箱:58377363@163.com

精英家教网