题目内容
做匀加速直线运动的物体途中依次经过A、B、C三点,已知AB=BC=(1)物体经B点时的瞬时速度vB为多大?
(2)若物体运动的加速度a=2m/s2,试求AC的距离l.
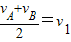
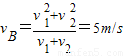
【答案】分析:(1)物体做匀加速直线运动,对AB、BC两段过程分别根据速度位移关系式列方程,得出A、B、C三点的速度与位移的关系,根据AB段和BC段的平均速度与A、B、C三点的速度列式,联立求出vB.
(2)根据上问求出物体经过A、C两点的速度,由速度位移公式研究AC过程,求出l.
解答:解:(1)设加速度大小为a,经A、C的速度大小分别为vA、vC.
据匀加速直线运动规律可得:




联立可得:
(2)将vB=5m/s代入上式得:vA=1m/s,vC=7m/s
由vC2-vA2=2al得
代入a=2m/s2
即可得l=12m
答:
(1)物体经B点时的瞬时速度vB为5m/s.
(2)若物体运动的加速度a=2m/s2,AC的距离l=12m.
点评:本题关键要充分运用好条件:AB=BC=
,及两段的平均速度.中等难度.
(2)根据上问求出物体经过A、C两点的速度,由速度位移公式研究AC过程,求出l.
解答:解:(1)设加速度大小为a,经A、C的速度大小分别为vA、vC.
据匀加速直线运动规律可得:
联立可得:
(2)将vB=5m/s代入上式得:vA=1m/s,vC=7m/s
由vC2-vA2=2al得
代入a=2m/s2
即可得l=12m
答:
(1)物体经B点时的瞬时速度vB为5m/s.
(2)若物体运动的加速度a=2m/s2,AC的距离l=12m.
点评:本题关键要充分运用好条件:AB=BC=
练习册系列答案
相关题目