题目内容
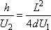
如图所示,示波器的示波管可以视为加速电场与偏转电场的组合,若已知加速电压为U1,偏转电压为U2,偏转极板长为L,板间距为d,且电子被加速前的初速度可忽略,则关于示波器的灵敏度(即偏转电场中每单位偏转电压所引起的偏转量h/U2)与加速电场、偏转电场的关系,下列说法中正确的是
A.L越大,灵敏度越高
B.d越大,灵敏度越高
C.U1越大,灵敏度越小
D.灵敏度与U2无关
答案:ACD
解析:
解析:
|
偏转位移 |
练习册系列答案
相关题目
| h |
| U2 |
| A、L越大,灵敏度越高 |
| B、d越大,灵敏度越高 |
| C、U1越大,灵敏度越小 |
| D、灵敏度与U2无关 |