题目内容
(1)假设脚踏板每n秒转一圈,则大齿轮Ⅰ的角速度是______rad/s.
(2)要知道在这种情况下自行车的行驶速度的大小,除需要测量大齿轮Ⅰ的半径r1,小齿轮Ⅱ的半径r2外,还须测量哪些物理量是______.
(3)用上述物理量推导出自行车前进速度的表达式:______.
【答案】分析:(1)根据大齿轮的周期求出大齿轮的角速度.
(2、3)大齿轮和小齿轮靠链条传动,线速度相等,根据半径关系可以求出小齿轮的角速度.后轮与小齿轮具有相同的角速度,若要求出自行车的速度,需要测量后轮的半径,抓住角速度相等,求出自行车的速度.
解答:解:(1)大齿轮的周期为n秒,则大齿轮的角速度ω1=
rad/s.
(2)大齿轮和小齿轮的线速度相等,小齿轮与后轮的角速度相等,若要求出自行车的速度,还需测量后轮的半径r3.
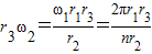
(3)因为ω1r1=ω2r2,所以
.后轮的角速度与小齿轮的角速度相等,所以线速度v=
.
故答案为:(1)
(2)后轮半径r3 (3)
点评:解决本题的关键知道靠链条传动,线速度相等,共轴转动,角速度相等.
(2、3)大齿轮和小齿轮靠链条传动,线速度相等,根据半径关系可以求出小齿轮的角速度.后轮与小齿轮具有相同的角速度,若要求出自行车的速度,需要测量后轮的半径,抓住角速度相等,求出自行车的速度.
解答:解:(1)大齿轮的周期为n秒,则大齿轮的角速度ω1=
(2)大齿轮和小齿轮的线速度相等,小齿轮与后轮的角速度相等,若要求出自行车的速度,还需测量后轮的半径r3.
(3)因为ω1r1=ω2r2,所以
故答案为:(1)
点评:解决本题的关键知道靠链条传动,线速度相等,共轴转动,角速度相等.
练习册系列答案
相关题目