题目内容
如图所示,一质量M=0.2kg的长木板静止在光滑的水平地面上,另一质量m=0.2kg的小滑块,以V=1.2m/s的速度从长木板的左端滑上长木板.已知小滑块与长木板间的动摩擦因数μ=0.4,g=10m/s2,问:(1)经过多少时间小滑块与长木板速度相等?
(2)从小滑块滑上长木板,到小滑块与长木板相对静止,小滑块运动的距离为多少?(滑块始终没有滑离长木板)
【答案】分析:(1)根据牛顿第二定律分别求出M和m的加速度,根据运动学公式求出速度相等所需的时间.
(2)当两物体的速度相等时,保持相对静止,一起做运动直线运动,根据运动的时间运用运动学公式求出小滑块运动的距离.
解答:解:(1)根据牛顿第二定律得,小滑块的加速度
.
木板的加速度
.
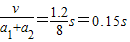
小滑块做匀减速直线运动,木板做匀加速直线运动.根据运动学公式有:
v-a1t=a2t
解得t=
.
(2)由
得,x=
.
答:(1)经过0.15s小滑块与长木板速度相等.
(2)小滑块运动的距离为0.135m.
点评:解决本题的关键理清滑块和木板的运动情况,结合牛顿第二定律和运动学公式进行求解.
(2)当两物体的速度相等时,保持相对静止,一起做运动直线运动,根据运动的时间运用运动学公式求出小滑块运动的距离.
解答:解:(1)根据牛顿第二定律得,小滑块的加速度
木板的加速度
小滑块做匀减速直线运动,木板做匀加速直线运动.根据运动学公式有:
v-a1t=a2t
解得t=
(2)由
答:(1)经过0.15s小滑块与长木板速度相等.
(2)小滑块运动的距离为0.135m.
点评:解决本题的关键理清滑块和木板的运动情况,结合牛顿第二定律和运动学公式进行求解.
练习册系列答案
相关题目