题目内容

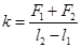
一根轻质弹簧一端固定,用大小为F1的力压弹簧的另一端,平衡时长度为l1;改用大小为F2的力拉弹簧,平衡时长度为l2.弹簧的拉伸或压缩均在弹性限度内,该弹簧的劲度系数为 (     )

 A、    B、    C、    D、

 

【答案】

C

【解析】

试题分析:设弹簧原长为l,根据胡克定律可知:,联立解得弹簧的劲度系数,所以只有选项C正确;

考点:胡克定律

 

练习册系列答案
相关题目

违法和不良信息举报电话:027-86699610 举报邮箱:58377363@163.com

精英家教网