题目内容

如图,质量为M、长为L、高为h的矩形滑块置于水平地面上,滑块与地面间动摩擦因数为μ;滑块上表面光滑,其右端放置一个质量为m的小球.用水平外力击打滑块左端,使其在极短时间内获得向右的速度v0,经过一段时间后小球落地.求小球落地时距滑块左端的水平距离.

答案:
解析:

  滑块上表面光滑,小球水平方向不受力的作用,故当滑块的左端到达小球正上方这段时间内,小球速度始终为零,则对于滑块:

  a=

  v1=

  当滑块的左端到达小球正上方后,小球做自由落体运动,落地时间t=

  滑块的加速度=μg

  ①若此时滑块的速度没有减小到零,在t时间内滑块向右运动的距离为:

  s=v1t-t2μg()2=-μh.

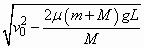
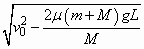
  ②若在t时间内滑块已经停下来,则:L.


练习册系列答案
相关题目

违法和不良信息举报电话:027-86699610 举报邮箱:58377363@163.com

精英家教网