题目内容
我国是一个能源消耗大国,节约能源刻不容缓.设有一架直升飞机以加速度a从地面由静止开始竖直向上起飞,已知飞机在上升过程中每秒钟的耗油量V=pa+q(p、q均为常数),若直升飞机欲加速上升到某一高度处,且耗油量最小,则其加速度大小应为( )A.
B.
C.
D.
【答案】分析:设加速度为a,根据位移时间公式求出运动的时间,从而求出消耗的油量,根据数学求极值的方法求出油量最小时的加速度.
解答:解:设匀加速直线运动的加速度为a,高度为h,由h=
得,t=
,
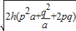
则消耗的油量
=
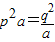
知
时,油量消耗最小.
解得a=
.故B正确,A、C、D错误.
故选B.
点评:解决本题的关键掌握匀变速直线运动的位移时间公式,本题的难点在于运用数学方法求极值.
解答:解:设匀加速直线运动的加速度为a,高度为h,由h=
则消耗的油量
知
解得a=
故选B.
点评:解决本题的关键掌握匀变速直线运动的位移时间公式,本题的难点在于运用数学方法求极值.
练习册系列答案
相关题目