ÌâÄ¿ÄÚÈÝ
ÈçͼËùʾ£¬Ò»ÖÊÁ¿M=2.0kgµÄ³¤Ä¾°å¾²Ö¹·ÅÔÚ¹â»¬Ë®Æ½ÃæÉÏ£¬ÔÚľ°åµÄÓÒ¶Ë·ÅÒ»ÖÊÁ¿m=1.0kg¿É¿´×÷ÖʵãµÄСÎï¿é£¬Ð¡Îï¿éÓëľ°å¼äµÄ¶¯Ä¦²ÁÒòÊýΪ¦Ì=0.2£®ÓúãÁ¦FÏòÓÒÀ¶¯Ä¾°åʹľ°åÔÚË®Æ½ÃæÉÏ×öÔȼÓËÙÖ±ÏßÔ˶¯£¬¾¹ýt=1.0sºó³·È¥¸ÃºãÁ¦£¬´ËʱСÎï¿éÇ¡ºÃÔ˶¯µ½¾àľ°åÓÒ¶Ël=1.0m´¦£®Ôڴ˺óµÄÔ˶¯ÖÐСÎï¿éûÓдÓľ°åÉϵôÏÂÀ´£®Ç󣺣¨1£©Ð¡Îï¿éÔÚ¼ÓËÙ¹ý³ÌÖÐÊܵ½µÄĦ²ÁÁ¦µÄ´óСºÍ·½Ïò£»
£¨2£©×÷ÓÃÓÚľ°åµÄºãÁ¦FµÄ´óС£»
£¨3£©Ä¾°åµÄ³¤¶ÈÖÁÉÙÊǶàÉÙ£¿
¡¾´ð°¸¡¿·ÖÎö£º£¨1£©³¤Ä¾°åÊÜˮƽÏòÓҵĺãÁ¦×÷ÓÃ×öÔȼÓËÙÖ±ÏßÔ˶¯£¬Ð¡Îï¿éÓÐÏà¶Ôľ°åÏò×󻬶¯£¬¹ÊСÎï¿éÊܵÄĦ²ÁÁ¦·½ÏòÏòÓÒ£¬´óС¸ù¾Ýf=¦ÌFN¼ÆË㣻
£¨2£©³¤Ä¾°åºÍСÎï¿é¶¼ÏòÓÒ×öÔȼÓËÙÖ±ÏßÔ˶¯£¬·Ö±ðËã³öÁ½ÕߵļÓËÙ¶È£¬¸ù¾ÝËüÃǵÄÎ»ÒÆ²îÊǸö¶¨ÖµÁз½³Ì¼´¿ÉÇó½â£»
£¨3£©³·È¥ºãÁ¦ºó£¬Ä¾°åÓëСÎï¿é×é³ÉµÄϵͳ¶¯Á¿Êغ㣬µ±Ð¡Îï¿éÓëľ°åÏà¶Ô¾²Ö¹Ê±£¬Ð¡Îï¿éûÓдÓľ°åÉϵôÏÂÀ´£¬ÒÔºó¾ÍÒÔÏàͬµÄËÙ¶ÈÒ»ÆðÔÈËÙÔ˶¯£¬²»»áµôÏÂÀ´ÁË£¬´Ëʱ·Ö±ð¶Ôľ°åºÍСÎï¿éÓö¯Äܶ¨Àí£¬¼´¿ÉÇóµÃ×î¶Ì³¤¶È£®
½â´ð£º½â£º£¨1£©ÉèСÎï¿éÊܵ½µÄĦ²ÁÁ¦Îªf=¦ÌN1=¦Ìmg=0.2×1.0×10N=2N ·½ÏòˮƽÏòÓÒ£®
£¨2£©ÉèСÎï¿éµÄ¼ÓËÙ¶ÈΪa1£¬Ä¾°åÔÚºãÁ¦F×÷ÓÃÏÂ×öÔȼÓËÙÖ±ÏßÔ˶¯Ê±µÄ¼ÓËÙ¶ÈΪa2£¬´Ë¹ý³ÌÖÐСÎï¿éµÄÎ»ÒÆÎªs1£¬Ä¾°åµÄÎ»ÒÆÎªs2Ôò
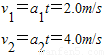
ÓÉÅ£¶Ù¶¨Âɼ°Ô˶¯¹æÂÉ¿ÉÖª£ºf=ma1 a1=2.0m/s2
s2-s1=l
´øÈëÊý¾Ý½âµÃ£ºa2=4m/s2
Éèľ°åÊܵ½µÄĦ²ÁÁ¦Îªf¡¯£¬f¡¯=f£¬¶Ôľ°å¸ù¾ÝÅ£¶ÙµÚ¶þ¶¨ÂÉ£ºF-f¡¯=Ma2£¬
ÔòF=f¡¯+ma2£¬´úÈëÊýÖµµÃ³öF=10N£®
£¨3£©Éè³·È¥FʱСÎï¿éºÍľ°åµÄËÙ¶È·Ö±ðΪv1ºÍv2£¬³·È¥Fºó£¬Ä¾°åÓëСÎï¿é×é³ÉµÄϵͳ¶¯Á¿Êغ㣬
µ±Ð¡Îï¿éÓëľ°åÏà¶Ô¾²Ö¹Ê±£¬ËüÃǾßÓй²Í¬ËÙ¶Èv£¬
¸ù¾Ý¶¯Á¿Êغ㶨Âɵãºmv1+Mv2=£¨m+M£©v

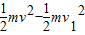
¶ÔСÎï¿é£º¸ù¾Ý¶¯Äܶ¨Àí£ºfs=
¶Ôľ°å£º¸ù¾Ý¶¯Äܶ¨Àí£º-f£¨s+l¡ä£©=
´úÈëÊý¾Ý£º
ËùÒÔľ°åµÄ³¤¶ÈÖÁÉÙΪL=l+l¡ä=
m¡Ö1.7m
´ð£º£¨1£©Ð¡Îï¿éÔÚ¼ÓËÙ¹ý³ÌÖÐÊܵ½µÄĦ²ÁÁ¦µÄ´óСΪ2N£¬·½ÏòˮƽÏòÓÒ£»£¨2£©×÷ÓÃÓÚľ°åµÄºãÁ¦FµÄ´óСΪ10N£»£¨3£©Ä¾°åµÄ³¤¶ÈÖÁÉÙÊÇ1.7m£®
µãÆÀ£º¸ÃÌâÉæ¼°µ½Ïà¶ÔÔ˶¯µÄ¹ý³Ì£¬ÒªÈÏÕæ·ÖÎöÎïÌåµÄÊÜÁ¦Çé¿öºÍÔ˶¯Çé¿ö£¬²¢ÄÜÊìÁ·µØÔËÓÃÔȱäËÙÖ±ÏßÔ˶¯µÄ¹«Ê½£¬×¢Ò⶯Á¿ÊغãµÄÌõ¼þ£¬Ñ¡ÔñÇ¡µ±µÄ¹ý³ÌÔËÓö¯Äܶ¨Àí½âÌ⣬±¾ÌâÄѶȽϴó£®
£¨2£©³¤Ä¾°åºÍСÎï¿é¶¼ÏòÓÒ×öÔȼÓËÙÖ±ÏßÔ˶¯£¬·Ö±ðËã³öÁ½ÕߵļÓËÙ¶È£¬¸ù¾ÝËüÃǵÄÎ»ÒÆ²îÊǸö¶¨ÖµÁз½³Ì¼´¿ÉÇó½â£»
£¨3£©³·È¥ºãÁ¦ºó£¬Ä¾°åÓëСÎï¿é×é³ÉµÄϵͳ¶¯Á¿Êغ㣬µ±Ð¡Îï¿éÓëľ°åÏà¶Ô¾²Ö¹Ê±£¬Ð¡Îï¿éûÓдÓľ°åÉϵôÏÂÀ´£¬ÒÔºó¾ÍÒÔÏàͬµÄËÙ¶ÈÒ»ÆðÔÈËÙÔ˶¯£¬²»»áµôÏÂÀ´ÁË£¬´Ëʱ·Ö±ð¶Ôľ°åºÍСÎï¿éÓö¯Äܶ¨Àí£¬¼´¿ÉÇóµÃ×î¶Ì³¤¶È£®
½â´ð£º½â£º£¨1£©ÉèСÎï¿éÊܵ½µÄĦ²ÁÁ¦Îªf=¦ÌN1=¦Ìmg=0.2×1.0×10N=2N ·½ÏòˮƽÏòÓÒ£®
£¨2£©ÉèСÎï¿éµÄ¼ÓËÙ¶ÈΪa1£¬Ä¾°åÔÚºãÁ¦F×÷ÓÃÏÂ×öÔȼÓËÙÖ±ÏßÔ˶¯Ê±µÄ¼ÓËÙ¶ÈΪa2£¬´Ë¹ý³ÌÖÐСÎï¿éµÄÎ»ÒÆÎªs1£¬Ä¾°åµÄÎ»ÒÆÎªs2Ôò
ÓÉÅ£¶Ù¶¨Âɼ°Ô˶¯¹æÂÉ¿ÉÖª£ºf=ma1 a1=2.0m/s2
s2-s1=l
´øÈëÊý¾Ý½âµÃ£ºa2=4m/s2
Éèľ°åÊܵ½µÄĦ²ÁÁ¦Îªf¡¯£¬f¡¯=f£¬¶Ôľ°å¸ù¾ÝÅ£¶ÙµÚ¶þ¶¨ÂÉ£ºF-f¡¯=Ma2£¬
ÔòF=f¡¯+ma2£¬´úÈëÊýÖµµÃ³öF=10N£®
£¨3£©Éè³·È¥FʱСÎï¿éºÍľ°åµÄËÙ¶È·Ö±ðΪv1ºÍv2£¬³·È¥Fºó£¬Ä¾°åÓëСÎï¿é×é³ÉµÄϵͳ¶¯Á¿Êغ㣬
µ±Ð¡Îï¿éÓëľ°åÏà¶Ô¾²Ö¹Ê±£¬ËüÃǾßÓй²Í¬ËÙ¶Èv£¬
¸ù¾Ý¶¯Á¿Êغ㶨Âɵãºmv1+Mv2=£¨m+M£©v
¶ÔСÎï¿é£º¸ù¾Ý¶¯Äܶ¨Àí£ºfs=
¶Ôľ°å£º¸ù¾Ý¶¯Äܶ¨Àí£º-f£¨s+l¡ä£©=
´úÈëÊý¾Ý£º
ËùÒÔľ°åµÄ³¤¶ÈÖÁÉÙΪL=l+l¡ä=
´ð£º£¨1£©Ð¡Îï¿éÔÚ¼ÓËÙ¹ý³ÌÖÐÊܵ½µÄĦ²ÁÁ¦µÄ´óСΪ2N£¬·½ÏòˮƽÏòÓÒ£»£¨2£©×÷ÓÃÓÚľ°åµÄºãÁ¦FµÄ´óСΪ10N£»£¨3£©Ä¾°åµÄ³¤¶ÈÖÁÉÙÊÇ1.7m£®
µãÆÀ£º¸ÃÌâÉæ¼°µ½Ïà¶ÔÔ˶¯µÄ¹ý³Ì£¬ÒªÈÏÕæ·ÖÎöÎïÌåµÄÊÜÁ¦Çé¿öºÍÔ˶¯Çé¿ö£¬²¢ÄÜÊìÁ·µØÔËÓÃÔȱäËÙÖ±ÏßÔ˶¯µÄ¹«Ê½£¬×¢Ò⶯Á¿ÊغãµÄÌõ¼þ£¬Ñ¡ÔñÇ¡µ±µÄ¹ý³ÌÔËÓö¯Äܶ¨Àí½âÌ⣬±¾ÌâÄѶȽϴó£®
Á·Ï°²áϵÁдð°¸
Ïà¹ØÌâÄ¿