题目内容
A、B两列波在某时刻的波形如图所示,经过t=TA时间(TA为波A的周期),两波再次出现如图所示波形,则两波的波速之比vA:vB不可能的是( )A.1:3
B.1:2
C.2:3
D.3:1
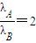
【答案】分析:通过波形图可知,两列波的波长为为2:1,经过t=TA时间(TA为波A的周期),两波再次出现如图所示波形,知A波向前平移一个波长,而B波向前平移自身波长的整数倍.
解答:解:由图可知
,经过t=TA时间有:vATA=λA,vBTA=nλB,(n为大于1的整数)得
.当n=6时,vA:vB=1:3.当n=4时,vA:vB=1:2.当n=3时,vA:vB=2:3.故A、B、C正确,D错误.
本题选不可能的,故选D.
点评:解决本题的关键从图中能得出两列波的波长比,以及知道波再次出现以前的波形,则波经过的时间是周期的整数倍,波形移动的距离是波长的整数倍.
解答:解:由图可知
本题选不可能的,故选D.
点评:解决本题的关键从图中能得出两列波的波长比,以及知道波再次出现以前的波形,则波经过的时间是周期的整数倍,波形移动的距离是波长的整数倍.
练习册系列答案
相关题目