题目内容
现要测定木块与长木板之间的动摩擦因数,给定的器材如下:一倾角可以调节的长木板(如图)、木块、计时器一个、米尺.(1)填入适当的公式或文字,完善以下实验步骤:
①让木块从斜面上方一固定点D从静止开始下滑到斜面底端A处,记下所用的时间t.
②用米尺测量D与A之间的距离s,则小车的加速度a=______.
③用米尺测量长木板顶端B相对于水平桌面CA的高度h和长木板的总长度l.设木块所受重力为mg,木块与长木板之间的动摩擦因数为μ,则木块所受的合外力F=______
【答案】分析:(1)由匀变速运动的位移公式可以求出加速度;
由牛顿第二定律列方程可以求出拉力;
由滑动摩擦力公式可以求出动摩擦因数;
改变斜面的倾角进行多次实验;
(2)根据实验原理分析减小实验误差的方法.
解答:解:(1)②木块做初速度为零的匀加速直线运动,s=
at2,加速度a=
;
③设斜面倾角为θ,对木块,由牛顿第二定律得:mgsinθ-μmgcosθ=ma,F=ma,
sinθ=
,cosθ=
,
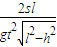
解得,木块受到的合力F=
(h-μ
.
④由牛顿第二定律得:mgsinθ-μmgcosθ=ma,sinθ=
,其中cosθ=
,a=
,
解得μ=
-
.
⑤改变长木板的倾角,重复上述测量和计算.
(2)用秒表测木块的运动时间,木块的运动时间越长,测量误差越小;
A、选用总长度l较长的木板,木块运动时间变大,可以减小时间测量误差,故A正确;
B、木块质量对运动时间没有影响,故B错误;
C、使木块从斜面开始下滑的起点D离斜面底端更远一些,可以增加木块运动时间,减小误差,故C正确;
D、木板倾角越大,木块运动时间越短,时间测量误差越大,故D错误;故选AC.
故答案为:(1)
;
;⑤长木板的倾角;(2)AC.
点评:本题考查了补全实验步骤、实验误差分析,对木块正确受力分析、应用牛顿第二定律、运动学公式即可正确解题.
由牛顿第二定律列方程可以求出拉力;
由滑动摩擦力公式可以求出动摩擦因数;
改变斜面的倾角进行多次实验;
(2)根据实验原理分析减小实验误差的方法.
解答:解:(1)②木块做初速度为零的匀加速直线运动,s=
③设斜面倾角为θ,对木块,由牛顿第二定律得:mgsinθ-μmgcosθ=ma,F=ma,
sinθ=
解得,木块受到的合力F=
④由牛顿第二定律得:mgsinθ-μmgcosθ=ma,sinθ=
解得μ=
⑤改变长木板的倾角,重复上述测量和计算.
(2)用秒表测木块的运动时间,木块的运动时间越长,测量误差越小;
A、选用总长度l较长的木板,木块运动时间变大,可以减小时间测量误差,故A正确;
B、木块质量对运动时间没有影响,故B错误;
C、使木块从斜面开始下滑的起点D离斜面底端更远一些,可以增加木块运动时间,减小误差,故C正确;
D、木板倾角越大,木块运动时间越短,时间测量误差越大,故D错误;故选AC.
故答案为:(1)
点评:本题考查了补全实验步骤、实验误差分析,对木块正确受力分析、应用牛顿第二定律、运动学公式即可正确解题.
练习册系列答案
相关题目