题目内容

(14分)如图所示,竖直平面坐标系xOy的第一象限,有垂直xOy面向外的水平匀强磁场和竖直向上的匀强电场,大小分别为B和E;第四象限有垂直xOy面向里的水平匀强电场,大小也为E;第三象限内有一绝缘光滑竖直放置的半径为R的半圆轨道,轨道最高点与坐标原点O相切,最低点与绝缘光滑水平面相切于N。一质量为m的带电小球从y轴上(y>0)的P点沿x轴正方向进入第一象限后做圆周运动,恰好通过坐标原点O,且水平切入半圆轨道并沿轨道内侧运动,过N点水平进入第四象限,并在电场中运动(已知重力加速度为g)。

(1)判断小球的带电性质并求出其所带电荷量;

(2)P点距坐标原点O至少多高;

(3)若该小球以满足(2)中OP最小值的位置和对应速度进入第一象限,通过N点开始计时,经时间小球距N点的距离s为多远。

 

【答案】

(1)小球带正电,且;(2) (或);(3)2R。

【解析】

试题分析:(1)小球进入第一象限正交的电场和磁场后,在垂直磁场的平面内做圆周运动,说明重力与电场力平衡,qE=mg①  (1分)故电场力的方向是竖直向上的,由于电场强度的方向竖直向上,故小球带正电(1分)。且存在如下关系:②   (1分)。

(2)小球在洛伦兹力作用下做匀速圆周运动,设匀速圆周运动的速度为v、轨道半径为r。

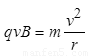
有牛顿第二定律可得:③   (1分)

小球恰能通过半圆轨道的最高点并沿轨道运动,有:④(1分)

由③④联立得:⑤(1分)

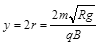
PO的最小距离为:⑥   (1分)

即: (或)(1分)

(3)小球由O运动到N的过程中机械能守恒:mg·2R+mv2mv⑦   (1分)

由④⑦得:⑧        (1分)

根据运动的独立性可知,小球从N点进入电场区域后,在x轴方向以速度vN做匀速直线运动,沿电场方向做初速度为零的匀加速直线运动,则沿x轴方向有:x=vNt⑨(1分)

沿电场方向有:z=at2⑩ (1分)         ⑪  (1分)

t时刻小球距N点:  (1分)

考点:牛顿第二定律,二力平衡,机械能守恒定律,平抛运动的知识等。

 

练习册系列答案
相关题目

违法和不良信息举报电话:027-86699610 举报邮箱:58377363@163.com

精英家教网