题目内容
如图所示,a为静止于地球赤道上的物体,b为绕地球做椭圆轨道运行的卫星,c为绕地球做圆周运动的卫星,p为b、c两卫星轨道的交点,已知a、b、c绕地心运动的周期相同,则( )A.物体a和卫星c的加速度大小相等
B.卫星c的运行速度小于物体a的速度
C.卫星b在p点运行的加速度大于卫星c的加速度
D.可能出现:在每天的某一时刻卫星b在a的正上方
【答案】分析:a、c的周期相同,则角速度相等,根据a=rω2比较物体a和卫星c的加速度大小,根据v=rω比较a、c的线速度大小.
根据万有引力大小,通过牛顿第二定律比较在P点的加速度的大小.
解答:解:A、a、c的周期相同,则角速度相等,根据a=rω2,c的轨道半径大于a的半径,所以c的加速度大于a的加速度.故A错误.
B、根据v=rω知,卫星c的运行速度大于a的速度.故B错误.
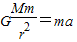
C、根据F=
知,a=
,半径相同,则加速度相等.故C错误.
D、a、b的周期相同,知每天可能在某一时刻卫星b在a的正上方.故D正确.
故选D.
点评:解决本题的关键知道周期相同,则角速度相等,根据a=rω2、v=rω比较向心加速度、线速度的大小,注意地球上的物体做圆周运动不是靠万有引力提供向心力.
根据万有引力大小,通过牛顿第二定律比较在P点的加速度的大小.
解答:解:A、a、c的周期相同,则角速度相等,根据a=rω2,c的轨道半径大于a的半径,所以c的加速度大于a的加速度.故A错误.
B、根据v=rω知,卫星c的运行速度大于a的速度.故B错误.
C、根据F=
D、a、b的周期相同,知每天可能在某一时刻卫星b在a的正上方.故D正确.
故选D.
点评:解决本题的关键知道周期相同,则角速度相等,根据a=rω2、v=rω比较向心加速度、线速度的大小,注意地球上的物体做圆周运动不是靠万有引力提供向心力.
练习册系列答案
相关题目
| A、卫星C的运行速度大于物体A的速度 | B、物体A和卫星C具有相同大小的加速度 | C、卫星B在近地点的速度大于卫星C的速度 | D、卫星B在P点的加速度与卫星C在该点加速度不相等 |