题目内容

如图(a)所示,在以O为圆心,内外半径分别为R1和R2的圆环区域内,存在辐射状电场和垂直纸面的匀强磁场,内外圆间的电势差U为常量,R1=R0,R2=3R0,一电荷量为+q,质量为m的粒子从内圆上的A点进入该区域,不计重力。
【小题1】已知粒子从外圆上以速度v1射出,求粒子在A点的初速度v0的大小。
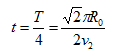
【小题2】若撤去电场,如图19(b),已知粒子从OA延长线与外圆的交点C以速度v2射出,方向与OA延长线成45°角,求磁感应强度的大小及粒子在磁场中运动的时间。
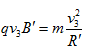
【小题3】在图(b)中,若粒子从A点进入磁场,速度大小为v3,方向不确定,要使粒子一定能够从外圆射出,磁感应强度应小于多少?


【小题1】
【小题2】
【小题3】

解析

练习册系列答案
相关题目

违法和不良信息举报电话:027-86699610 举报邮箱:58377363@163.com

精英家教网