题目内容
如图,表面光滑的固定斜面顶端安装一定滑轮,小物块A、B用轻绳连接并跨过滑轮(不计滑轮的质量和摩擦)。初始时刻,A、B处于同一高度并恰好静止状态。剪断轻绳后A下落、B沿斜面下滑,则从剪断轻绳到物块着地,两物块( )
![]()
A.速率的变化量不同
B.机械能的变化量不同
C.重力势能的变化量相同
D.重力做功的平均功率相同
【答案】
C
【解析】
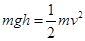
试题分析:两物块的运动,机械能都是守恒的,
,即到达地面时,二者的速率相等,选项A错误。机械能都减少了mgh,选项B错误、C正确。根据重力做功的特点,重力做功相等,但是A物体做自由落体运动,B物体做初速度为零的匀加速直线运动,根据
,B物体的位移较大,因此所需时间较长,根据平均功率的定义,B物体的平均功率较小,选项D错误。
考点:本题考查机械能守恒定律,涉及平均功率的概念。
练习册系列答案
相关题目
| A、速度相等 | B、机械能不同 | C、重力势能相同 | D、重力的功率相同 |
| A、速率的变化量不同 | B、机械能的变化量不同 | C、重力势能的变化量不相同 | D、重力做功的平均功率不相同 |