题目内容
(1)细绳断裂前,两滑块的加速度;
(2)在整个运动过程中,乙的电势能增量的最大值;
(3)当乙的电势能增量为零时,甲与乙组成的系统机械能的增量.
【答案】分析:(1)甲乙两物体具有相同的加速度,对甲乙整体研究,根据牛顿第二定律求出整体的加速度.
(2)当乙发生的位移最大时,乙的电势能增量最大.先求出绳子断裂前乙发生的位移和末速度,绳子断裂后,乙做匀减速直线运动,求出绳子断裂后的加速度和速度减到0的位移,即可知道乙的最大位移.电场力做负功,电势能增加,根据
求出电势能增量的最大值.
(3)当乙的电势能增量为零时,乙又回到原位置,根据运动学公式求出绳子断裂后返回到出发点的时间,从而求出此时甲、乙的速度,系统机械能的增量等于系统动能的增量.
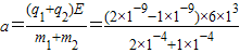
解答:解:对甲乙整体分析有:F合=q1E+q2E=(m1+m2)a
得
m/s2=0.02m/s2.
(2)当乙发生的位移最大时,乙的电势能增量最大.
细绳断裂前,甲、乙发生的位移均为

此时甲、乙的速度均为
v=at=0.02×3m/s=0.06m/s
细绳断裂后,乙的加速度变为
=-0.06m/s2
从细绳断裂乙速度为零,乙发生的位移s乙′为

整个运动过程乙发生的最大位移为
s乙max=s+s乙′=0.09+0.03m=0.12m
此时乙的电势能增量为
=
=7.2×10-7J.
(3)当乙的总位移为零,即乙返回到原出发点时,乙的电势能增量为零.
设细绳断裂后,乙经t′时间返回到原出发点,则有

代入数据,有

解得:t′=3s t′=-1s(不合题意,舍去.)
乙回到原出发点时的速度为
v乙′=v+a乙′t′=0.06-0.06×3=-0.12m/s
细绳断裂后,甲的加速度变为
=0.06m/s2
乙回到原出发点时甲的速度为
v甲′=v+a甲′t′=0.06+0.06×3m/s=0.24m/s
甲与乙组成的系统机械能的增量为
=6.48×10-6J.
点评:该题整体法、隔离法相结合,运用牛顿第二定律求加速度,与运动学相结合求出各个时段甲乙的位移和速度.以及知道当乙发生的位移最大时,乙的电势能增量最大.因为电场力做负功,电势能增大.
(2)当乙发生的位移最大时,乙的电势能增量最大.先求出绳子断裂前乙发生的位移和末速度,绳子断裂后,乙做匀减速直线运动,求出绳子断裂后的加速度和速度减到0的位移,即可知道乙的最大位移.电场力做负功,电势能增加,根据
(3)当乙的电势能增量为零时,乙又回到原位置,根据运动学公式求出绳子断裂后返回到出发点的时间,从而求出此时甲、乙的速度,系统机械能的增量等于系统动能的增量.
解答:解:对甲乙整体分析有:F合=q1E+q2E=(m1+m2)a
得
(2)当乙发生的位移最大时,乙的电势能增量最大.
细绳断裂前,甲、乙发生的位移均为
此时甲、乙的速度均为
v=at=0.02×3m/s=0.06m/s
细绳断裂后,乙的加速度变为
从细绳断裂乙速度为零,乙发生的位移s乙′为
整个运动过程乙发生的最大位移为
s乙max=s+s乙′=0.09+0.03m=0.12m
此时乙的电势能增量为
(3)当乙的总位移为零,即乙返回到原出发点时,乙的电势能增量为零.
设细绳断裂后,乙经t′时间返回到原出发点,则有
代入数据,有
解得:t′=3s t′=-1s(不合题意,舍去.)
乙回到原出发点时的速度为
v乙′=v+a乙′t′=0.06-0.06×3=-0.12m/s
细绳断裂后,甲的加速度变为
乙回到原出发点时甲的速度为
v甲′=v+a甲′t′=0.06+0.06×3m/s=0.24m/s
甲与乙组成的系统机械能的增量为
点评:该题整体法、隔离法相结合,运用牛顿第二定律求加速度,与运动学相结合求出各个时段甲乙的位移和速度.以及知道当乙发生的位移最大时,乙的电势能增量最大.因为电场力做负功,电势能增大.
练习册系列答案
相关题目
| ||
| q |
| A、小物块将沿斜面下滑 | ||
| B、小物块将做曲线运动 | ||
C、小物块到达地面时的速度大小为2
| ||
| D、若其他条件不变,只增大电场强度,小物块到达地面前的运动时间将增大 |