ÌâÄ¿ÄÚÈÝ

ÈçͼËùʾ£¬Ð¡ÇòAϵÔÚϸÏßµÄÒ»¶Ë£¬ÏßµÄÁíÒ»¶Ë¹Ì¶¨ÔÚOµã£¬Oµãµ½Ë®Æ½ÃæµÄ¾àÀëΪh¡£Îï¿éBÖÊÁ¿ÊÇСÇòµÄ5±¶£¬¾²Ö¹ÓÚ´Ö²ÚµÄË®Æ½ÃæÉÏÇÒλÓÚOµãÕýÏ·½£¬Îï¿éÓëË®Æ½Ãæ¼äµÄ¶¯Ä¦²ÁÒòÊýΪ¦Ì¡£ÏÖÀ­¶¯Ð¡ÇòʹÏßˮƽÉìÖ±£¬Ð¡ÇòÓɾ²Ö¹¿ªÊ¼ÊÍ·Å£¬Ô˶¯µ½×îµÍµãʱÓëÎï¿é·¢ÉúÕýÅö£¨Åöײʱ¼ä¼«¶Ì£©£¬·´µ¯ºóÉÏÉýÖÁ×î¸ßµãʱµ½Ë®Æ½ÃæµÄ¾àÀëΪ¡£Ð¡ÇòÓëÎï¿é¾ùÊÓΪÖʵ㣬²»¼Æ¿ÕÆø×èÁ¦£¬ÖØÁ¦¼ÓËÙ¶ÈΪg£¬ÇóÎï¿éÔÚË®Æ½ÃæÉÏ»¬ÐеÄʱ¼ät¡£

 

 

¡¾´ð°¸¡¿

¡¾½âÎö¡¿

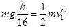
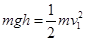
ÊÔÌâ·ÖÎö£ºÉèСÇòµÄÖÊÁ¿Îªm£¬Ô˶¯µ½×îµÍµãÓëÎï¿éÅöײǰµÄËÙ¶È´óСΪv1£¬È¡Ð¡ÇòÔ˶¯µ½×îµÍµãÖØÁ¦ÊÆÄÜΪÁ㣬¸ù¾Ý»úеÄÜÊØºã¶¨ÂÉÓУº

½âµÃ£º

ÉèÅöײºóСÇò·´µ¯µÄËÙ¶È´óСΪ£¬Í¬ÀíÓУº

½âµÃ£º

ÉèÅöºóÎï¿éµÄËÙ¶È´óС£¬È¡Ë®Æ½ÏòÓÒΪÕý·½Ïò£¬¸ù¾Ý¶¯Á¿Êغ㶨ÂÉÓУº

½âµÃ£º

Îï¿éÔÚË®Æ½ÃæÉÏ»¬ÐÐËùÊÜĦ²ÁÁ¦´óСΪ£º

ÉèÎï¿éÔÚË®Æ½ÃæÉÏ»¬ÐеÄʱ¼äΪt£¬¸ù¾Ý¶¯Á¿¶¨ÀíÓУº

½âµÃ£º¡£

¿¼µã£º±¾Ì⿼²é¶¯Á¿ºÍÄÜÁ¿×ÛºÏÎÊÌâ¡£

 

Á·Ï°²áϵÁдð°¸
Ïà¹ØÌâÄ¿

Î¥·¨ºÍ²»Á¼ÐÅÏ¢¾Ù±¨µç»°£º027-86699610 ¾Ù±¨ÓÊÏ䣺58377363@163.com

¾«Ó¢¼Ò½ÌÍø