题目内容

一个原来静止的电子,经过100 V的电压加速后它的动能是多少?质量改变了百分之几?速度是多少?这时能不能使用公式Ekm0v2

答案:
解析:

  答案:1.6×10-17 J 0.02% 5.9×106 m/s 能

  解析:加速后电子的动能是

  Ek=qU=1.6×10-19×100 J=1.6×10-17 J,

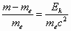
  因为Ek=mc2-mec2

  所以m-me

  因此

  把数值代入,得=2×10-4=0.02%

  即质量改变了0.02%,这说明在100 V电压加速后,电子的速度与光速相比仍然很小,因此可以用Ekmev2这个公式,由Ekmev2得电子的速度

  =5.9×106 m/s.


练习册系列答案
相关题目

违法和不良信息举报电话:027-86699610 举报邮箱:58377363@163.com

精英家教网