ÌâÄ¿ÄÚÈÝ
ÔÚ¹â»¬Ë®Æ½ÃæÉÏ£¬ÓÐÒ»ÖÊÁ¿m1=20kgµÄС³µ£¬Í¨¹ýÒ»¸ù¼¸ºõ²»¿ÉÉ쳤µÄÇáÉþÓëÁíÒ»¸öÖÊÁ¿Îªm2=25kgµÄÍϳµÏàÁ¬½Ó£®Ò»ÖÊÁ¿m3=15kgµÄÎïÌå·ÅÔÚÍϳµµÄƽ°åÉÏ£®ÎïÌåÓëÆ½°å¼äµÄ¶¯Ä¦²ÁÒòÊýΪ¦Ì=0.20£®¿ªÊ¼Ê±£¬Íϳµ¾²Ö¹£¬ÉþδÀ½ô£¬ÈçͼËùʾ£¬Ð¡³µÒÔv=3m/sµÄËÙ¶ÈÏòǰÔ˶¯£®Ç󣺣¨1£©µ±m1¡¢m2¡¢m3ÒÔͬһËÙ¶Èǰ½øÊ±£¬ËٶȵĴóС£®
£¨2£©ÎïÌåÔÚÍϳµÆ½°åÉÏÒÆ¶¯µÄ¾àÀ룮£¨gÈ¡10m/s2£©
¡¾´ð°¸¡¿·ÖÎö£º£¨1£©½«Ð¡³µ¡¢ÍϳµºÍÎïÌåÈý¸öÎïÌå¿´³Éһϵͳ£¬ÔÚˮƽ·½ÏòÉ϶¯Á¿Êغ㣬¸ù¾Ý¶¯Á¿Êغ㶨ÂÉÇó³öÈýÕßÒ»ÆðÔ˶¯µÄËÙ¶È´óС£®
£¨2£©ÇáÉþ´ÓÉìÖ±µ½À½ôµÄʱ¼ä¼«¶Ì£¬Ôڴ˹ý³ÌÖУ¬Ð¡³µÓëÍϳµÔÚˮƽ·½ÏòÉ϶¯Á¿Êغ㣬¸ù¾Ý¶¯Á¿ÊغãÇó³öС³µºÍÍϳµµÄ¹²Í¬ËÙ¶È£¬È»ºóÎïÌåÔÚÍϳµÉÏ·¢ÉúÏà¶Ô»¬¶¯£¬¸ù¾Ý¶¯Äܶ¨ÀíÇó³öÍϳµºÍС³µÕûÌåÓëÎïÌåµÄÎ»ÒÆ£¬´Ó¶øÇó³öËüÃǵÄÏà¶ÔÎ»ÒÆ£®
½â´ð£º½â£º£¨1£©ÓÉС³µ¡¢ÍϳµºÍÎïÌåÈýÕßˮƽ·½Ïò¶¯Á¿Êغ㣺m1v=£¨m1+m2+m3£©u£¬
µÃÈýÕßÒ»ÆðÔ˶¯µÄËÙ¶È´óСΪ
=1m/s£®
£¨2£©Ð¡³µÏòǰÔ˶¯Ê±£¬ÇáÉþ½«Öð½¥ÉìÖ±£®ÒòΪÇáÉþ´ÓÉìÖ±µ½À½ôµÄʱ¼ä¼«¶Ì£¬ÔÚÕ⼫¶Ìʱ¼äÄÚÉþÖвúÉúµÄÕÅÁ¦Ô¶´óÓÚÎïÌå¶ÔÍϳµµÄĦ²ÁÁ¦£¬¿ÉÒÔÈÏΪ½öÊÇС³µÓëÍϳµ¼ä·¢ÉúÁËÏ໥×÷Óã®¶ÔС³µÓëÍϳµÓÉˮƽ·½Ïò¶¯Á¿Êغ㣺
m1v=£¨m1+m2£©v12£¬
µÃÉþ¸ÕÀ½ôʱÁ½ÕߵĹ²Í¬ËÙ¶È

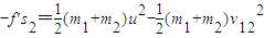
´Ëºó£¬ÓÉÓÚÎïÌåºÍÍϳµ¼äÐγÉÁËÏà¶ÔËÙ¶È£¬Íϳµ¶ÔÎïÌå²úÉúĦ²ÁÁ¦f£¨f=¦Ìm3g£©£¬Ê¹ÎïÌåÏòǰ£¨Óëv12ͬÏò£©×÷¼ÓËÙÔ˶¯£¬ÎïÌå¶ÔÍϳµµÄĦ²ÁÁ¦f¡ä£¨f¡ä=f£©Ê¹Íϳµ£¨°üÀ¨Ð¡³µ£©×÷¼õËÙÔ˶¯£¬Ö±ÖÁÎïÌåºÍÍϳµ£¨°üÀ¨Ð¡³µ£©ÒÔ¹²Í¬ËÙ¶ÈuÔ˶¯£®ÔÚÕâ¸ö¹ý³ÌÖУ¬ÉèÍϳµ£¨°üÀ¨Ð¡³µ£©¶ÔµØÃæµÄÎ»ÒÆÎªs2£¬ÎïÌå¶ÔµØÃæµÄÎ»ÒÆÎªs3£¬¶ÔÍϳµÎ»ÒÆÎªd£¬ÈçͼËùʾ£®¸ù¾Ý¶¯Äܶ¨Àí£¬¶ÔÍϳµºÍС³µ£º

¼´
¶ÔÎïÌå
¼´
Óɴ˽âµÃÍϳµºÍÎïÌåµÄÎ»ÒÆ·Ö±ðΪ
=
£®
£®
ËùÒÔ£¬ÎïÌåÔÚÍϳµÆ½°åÉÏÒÆ¶¯µÄ¾àÀëd=
£®
´ð£º£¨1£©µ±m1¡¢m2¡¢m3ÒÔͬһËÙ¶Èǰ½øÊ±£¬ËٶȵĴóСΪ1m/s£®
£¨2£©ÎïÌåÔÚÍϳµÆ½°åÉÏÒÆ¶¯µÄ¾àÀëΪ0.33m£®
µãÆÀ£º±¾Ìâ×ÛºÏÔËÓÃÁ˶¯Á¿Êغ㶨ÂÉ¡¢¶¯Äܶ¨ÀíµÈ֪ʶµã£¬×ÛºÏÐÔÇ¿£¬¹Ø¼üÒªºÏÀíµØÑ¡ÔñÑо¿µÄϵͳ£¬Ñо¿µÄ¹ý³Ì£¬ÔËÓúÏÊʵ͍ÂɽøÐÐÇó½â£®
£¨2£©ÇáÉþ´ÓÉìÖ±µ½À½ôµÄʱ¼ä¼«¶Ì£¬Ôڴ˹ý³ÌÖУ¬Ð¡³µÓëÍϳµÔÚˮƽ·½ÏòÉ϶¯Á¿Êغ㣬¸ù¾Ý¶¯Á¿ÊغãÇó³öС³µºÍÍϳµµÄ¹²Í¬ËÙ¶È£¬È»ºóÎïÌåÔÚÍϳµÉÏ·¢ÉúÏà¶Ô»¬¶¯£¬¸ù¾Ý¶¯Äܶ¨ÀíÇó³öÍϳµºÍС³µÕûÌåÓëÎïÌåµÄÎ»ÒÆ£¬´Ó¶øÇó³öËüÃǵÄÏà¶ÔÎ»ÒÆ£®
½â´ð£º½â£º£¨1£©ÓÉС³µ¡¢ÍϳµºÍÎïÌåÈýÕßˮƽ·½Ïò¶¯Á¿Êغ㣺m1v=£¨m1+m2+m3£©u£¬
µÃÈýÕßÒ»ÆðÔ˶¯µÄËÙ¶È´óСΪ
£¨2£©Ð¡³µÏòǰÔ˶¯Ê±£¬ÇáÉþ½«Öð½¥ÉìÖ±£®ÒòΪÇáÉþ´ÓÉìÖ±µ½À½ôµÄʱ¼ä¼«¶Ì£¬ÔÚÕ⼫¶Ìʱ¼äÄÚÉþÖвúÉúµÄÕÅÁ¦Ô¶´óÓÚÎïÌå¶ÔÍϳµµÄĦ²ÁÁ¦£¬¿ÉÒÔÈÏΪ½öÊÇС³µÓëÍϳµ¼ä·¢ÉúÁËÏ໥×÷Óã®¶ÔС³µÓëÍϳµÓÉˮƽ·½Ïò¶¯Á¿Êغ㣺
m1v=£¨m1+m2£©v12£¬
µÃÉþ¸ÕÀ½ôʱÁ½ÕߵĹ²Í¬ËÙ¶È
´Ëºó£¬ÓÉÓÚÎïÌåºÍÍϳµ¼äÐγÉÁËÏà¶ÔËÙ¶È£¬Íϳµ¶ÔÎïÌå²úÉúĦ²ÁÁ¦f£¨f=¦Ìm3g£©£¬Ê¹ÎïÌåÏòǰ£¨Óëv12ͬÏò£©×÷¼ÓËÙÔ˶¯£¬ÎïÌå¶ÔÍϳµµÄĦ²ÁÁ¦f¡ä£¨f¡ä=f£©Ê¹Íϳµ£¨°üÀ¨Ð¡³µ£©×÷¼õËÙÔ˶¯£¬Ö±ÖÁÎïÌåºÍÍϳµ£¨°üÀ¨Ð¡³µ£©ÒÔ¹²Í¬ËÙ¶ÈuÔ˶¯£®ÔÚÕâ¸ö¹ý³ÌÖУ¬ÉèÍϳµ£¨°üÀ¨Ð¡³µ£©¶ÔµØÃæµÄÎ»ÒÆÎªs2£¬ÎïÌå¶ÔµØÃæµÄÎ»ÒÆÎªs3£¬¶ÔÍϳµÎ»ÒÆÎªd£¬ÈçͼËùʾ£®¸ù¾Ý¶¯Äܶ¨Àí£¬¶ÔÍϳµºÍС³µ£º
¼´
¶ÔÎïÌå
¼´
Óɴ˽âµÃÍϳµºÍÎïÌåµÄÎ»ÒÆ·Ö±ðΪ
ËùÒÔ£¬ÎïÌåÔÚÍϳµÆ½°åÉÏÒÆ¶¯µÄ¾àÀëd=
´ð£º£¨1£©µ±m1¡¢m2¡¢m3ÒÔͬһËÙ¶Èǰ½øÊ±£¬ËٶȵĴóСΪ1m/s£®
£¨2£©ÎïÌåÔÚÍϳµÆ½°åÉÏÒÆ¶¯µÄ¾àÀëΪ0.33m£®
µãÆÀ£º±¾Ìâ×ÛºÏÔËÓÃÁ˶¯Á¿Êغ㶨ÂÉ¡¢¶¯Äܶ¨ÀíµÈ֪ʶµã£¬×ÛºÏÐÔÇ¿£¬¹Ø¼üÒªºÏÀíµØÑ¡ÔñÑо¿µÄϵͳ£¬Ñо¿µÄ¹ý³Ì£¬ÔËÓúÏÊʵ͍ÂɽøÐÐÇó½â£®
Á·Ï°²áϵÁдð°¸
Ïà¹ØÌâÄ¿
| A¡¢×ö¼ÓËÙÔ˶¯ | B¡¢×ö¼õËÙÔ˶¯ | C¡¢×öÔÈËÙÔ˶¯ | D¡¢ÒÔÉÏÔ˶¯¶¼¿ÉÄÜ |