题目内容
物体由静止开始做匀加速直线运动,第3秒内通过的位移为3m,则物体的加速度等于 m/s2.
【答案】分析:第3s内的位移等于前3s的位移减去前2s的位移,根据匀变速直线运动位移时间关系即可解题.
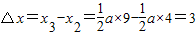
解答:解:根据x=
得:
第3s内的位移
m
解得:a=1.2m/s2
故答案为1.2
点评:本题主要考查了匀变速直线运动位移时间公式的直接应用,难度不大,属于基础题.
解答:解:根据x=
第3s内的位移
解得:a=1.2m/s2
故答案为1.2
点评:本题主要考查了匀变速直线运动位移时间公式的直接应用,难度不大,属于基础题.
练习册系列答案
相关题目