题目内容
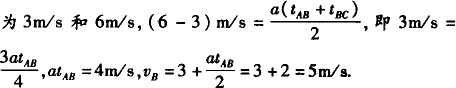
做匀加速直线运动的物体,依次通过A、B、C三点,位移xAB=xBC,已知物体在AB段的平均速度大小为3 m/s,在BC段的平均速度为6 m/s,那么物体在B点的瞬时速度的大小为________m/s.
答案:5
解析:
解析:
|
|
练习册系列答案
相关题目
题目内容
做匀加速直线运动的物体,依次通过A、B、C三点,位移xAB=xBC,已知物体在AB段的平均速度大小为3 m/s,在BC段的平均速度为6 m/s,那么物体在B点的瞬时速度的大小为________m/s.
|
|