题目内容
做匀加速直线运动的物体先后通过A、B两点的速度分别为3v和4v,所经历的时间为T,则下列说法正确的是( )A.经过A、B中点的速度为3.5v
B.经过A、B中间时刻的速度为
C.再运动T时间通过的距离比A、B间距离大0.5vT
D.再运动T时间通过的距离比A、B间距离大vT
【答案】分析:解决本题需要掌握:匀变速直线运动的时间中点和位移中点的速度公式,明确公式适用条件和物理量意义.然后直接利用公式求解即可.
解答:解:A、在匀变速直线运动中中点位移的速度
=5v,故A错误;
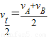
B、在匀变速直线运动中中点时刻的速度
=3.5v,故B错误;
C、匀加速直线运动,相邻的相等时间内的位移差是一个定值,即△x=aT2,所以再运动T时间通过的距离比A、B间距离大
=vT,故C错误,D正确.
故选D
点评:本题考查了匀变速直线运动推论公式的应用,对于这些推论公式既要会推导也要明确其适用条件并能灵活应用.
解答:解:A、在匀变速直线运动中中点位移的速度
B、在匀变速直线运动中中点时刻的速度
C、匀加速直线运动,相邻的相等时间内的位移差是一个定值,即△x=aT2,所以再运动T时间通过的距离比A、B间距离大
故选D
点评:本题考查了匀变速直线运动推论公式的应用,对于这些推论公式既要会推导也要明确其适用条件并能灵活应用.
练习册系列答案
相关题目