题目内容
A.1:3
B.1:2
C.2:1
D.3:1
【答案】分析:根据两图可知两波波长关系,B波经过时间t重复出现波形,说明了经历时间为其周期的整数倍,这是解本题的突破口.
解答:解:由图可知:
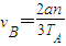
,
.
根据题意周期关系为:t=TA,t=nTB(n=1、2、3…)
所以有:
,
(n=1、2、3…)
故有:
(n=1、2、3…),故选项ABD错误,C正确.
故选C.
点评:波传播的是形式能量,经过整数周期将重复出现波形,这往往是解决问题的突破口.如本题中由于B波重复出现波形,说明了所经历时间为其周期整数倍.
解答:解:由图可知:
根据题意周期关系为:t=TA,t=nTB(n=1、2、3…)
所以有:
故有:
故选C.
点评:波传播的是形式能量,经过整数周期将重复出现波形,这往往是解决问题的突破口.如本题中由于B波重复出现波形,说明了所经历时间为其周期整数倍.
练习册系列答案
相关题目