题目内容
在如图所示电路中,电源的电动势E=3V,内电阻r=0.5Ω,电阻R1=2Ω,闭合电键S,当滑动变阻器的滑动触头P向下滑动时,四个理想电表的示数都发生变化,电表的示数分别用I、U1、U2和U3表示,电表示数变化量的大小分别用△I、△U1、△U2和△U3表示,则下列叙述中正确的是( )A.I变小,U1变小
B.△U1>△U2
C.△U1>△U3
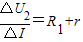
D.
【答案】分析:理想电表不考虑电表对电表的影响,电压表V1测量路端电压,电流表测量干路电流.滑动变阻器的滑动触头P向下滑动,接入电路电阻变大,根据电路的结构,由欧姆定律可判断电表示数的变化量大小.
解答:解:A、R2变大,外电路总电阻变大,由欧姆定律,I变小,U1=IR1变小,故A正确.
B、I变小,则U3=E-Ir,U3变大,则U3=U1+U2,U1变小,则U2变大,且△U2>△U1.故B错误.
C、△U1=△I?R1,△U3=△I?r,由于R1>r,所以△U1>△U3.故C正确.
D、U2=E-I(R1+r),
>r,故D正确.
故选ACD
点评:本题D项,也可以把电阻R1看成是电源的内阻,用等效思维理解.B选项中,比较△U2与△U1的大小常采用总量法,这是比较变化量大小常用的方法.
解答:解:A、R2变大,外电路总电阻变大,由欧姆定律,I变小,U1=IR1变小,故A正确.
B、I变小,则U3=E-Ir,U3变大,则U3=U1+U2,U1变小,则U2变大,且△U2>△U1.故B错误.
C、△U1=△I?R1,△U3=△I?r,由于R1>r,所以△U1>△U3.故C正确.
D、U2=E-I(R1+r),
故选ACD
点评:本题D项,也可以把电阻R1看成是电源的内阻,用等效思维理解.B选项中,比较△U2与△U1的大小常采用总量法,这是比较变化量大小常用的方法.
练习册系列答案
相关题目