题目内容
甲、乙两颗人造地球卫星质量之比是4:1,轨道半径之比是4:1,下列说法正确的是( )A.甲、乙的周期之比是1:8
B.甲、乙的线速度之比是1:2
C.甲、乙的向心加速度之比是1:16
D.甲、乙的向心力之比是1:1
【答案】分析:根据人造卫星的万有引力等于向心力,列式求出线速度、角速度、周期和向心力的表达式进行讨论即可.
解答:解:人造卫星绕地球做匀速圆周运动,根据万有引力提供向心力,
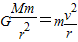
设卫星的质量为m、轨道半径为r、地球质量为M,有F引=F向 即
解得
因为轨道半径之比是4:1,所以甲、乙的周期之比是8:1,故A错误;
解得v=
因为轨道半径之比是4:1,所以甲、乙的线速度之比是1:2,故B正确;
,解得
因为轨道半径之比是4:1,所以甲、乙的向心加速度之比是1:16,故C正确;
=F向,解得向心力与卫星的质量成正比,与半径的平方成反比.
因为卫星质量m2=2m1,轨道半径r2=4r1,所以甲、乙的向心力1:4,故D错误;
故选:BC
点评:本题关键抓住万有引力提供向心力,列式求解出线速度、角速度、周期和向心力的表达式,再进行讨论.注意只有向心力与卫星的质量有关,线速度、角速度与向心加速度均与卫星的质量无关.
解答:解:人造卫星绕地球做匀速圆周运动,根据万有引力提供向心力,
设卫星的质量为m、轨道半径为r、地球质量为M,有F引=F向 即
解得
因为轨道半径之比是4:1,所以甲、乙的周期之比是8:1,故A错误;
因为轨道半径之比是4:1,所以甲、乙的线速度之比是1:2,故B正确;
因为轨道半径之比是4:1,所以甲、乙的向心加速度之比是1:16,故C正确;
因为卫星质量m2=2m1,轨道半径r2=4r1,所以甲、乙的向心力1:4,故D错误;
故选:BC
点评:本题关键抓住万有引力提供向心力,列式求解出线速度、角速度、周期和向心力的表达式,再进行讨论.注意只有向心力与卫星的质量有关,线速度、角速度与向心加速度均与卫星的质量无关.
练习册系列答案
相关题目