ÌâÄ¿ÄÚÈÝ
2007Äê10ÔÂ24ÈÕ£¬ÖйúÊ׿Å̽ÔÂÎÀÐÇ¡°æÏ¶ðÒ»ºÅ¡±´ÓÎ÷²ýÎÀÐÇ·¢ÉäÖÐÐÄ·¢ÉäÉý¿Õ£¬11ÔÂ26ÈÕ£¬ÖйúµÚÒ»·ùÔÂͼÍêÃÀÁÁÏ࣬ÖйúÊ×´ÎÔÂÇò̽²â¹¤³ÌÈ¡µÃÔ²Âú³É¹¦£®ÎÒ¹ú½«ÔÚ2017Äêǰºó·¢ÉäÒ»¿Å·µ»ØÊ½ÔÂÇòÈí׎Æ÷£¬½øÐÐÊ×´ÎÔÂÇòÑùÆ·×Ô¶¯È¡Ñù²¢°²È«·µ»ØµØÇò£®¼ÙÉè̽ÔÂÓԱվÔÚÔÂÇò±íÃæÒ»Ð±ÆÂÉϵÄMµã£¬²¢ÑØË®Æ½·½ÏòÒÔ³õËÙ¶ÈvÅ׳öÒ»¸öÖÊÁ¿ÎªmµÄСÇò£¬²âµÃСÇò¾Ê±¼ätÂ䵽бÆÂÉÏ ÁíÒ»µãN£¬Ð±ÃæµÄÇã½ÇΪ¦Á£¬ÒÑÖªÔÂÇò°ë¾¶ÎªR£¬ÔÂÇòµÄÖÊÁ¿·Ö²¼¾ùÔÈ£¬ÍòÓÐÒýÁ¦³£Á¿ÎªG£¬Ç󣺣¨1£©ÔÂÇò±íÃæµÄÖØÁ¦¼ÓËÙ¶Èg¡ä£»
£¨2£©ÈËÔìÎÀÐÇÈÆÔÂÇò×öÔÈËÙÔ²ÖÜÔ˶¯µÄµÚÒ»ÓîÖæËÙ¶È£®
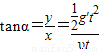
¡¾´ð°¸¡¿·ÖÎö£º£¨1£©Ð¡Çò×öƽÅ×Ô˶¯£¬Ë®Æ½Î»ÒÆx=¦Ôt£¬ÊúÖ±Î»ÒÆ
£¬ÔÙ¸ù¾Ý¼¸ºÎ¹ØÏµ¼´¿ÉÇóµÃ¸ÃÐÇÇò±íÃæµÄÖØÁ¦¼ÓËÙ¶Èg£»
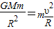
£¨2£©¸ÃÐÇÇòµÄ½üµØÎÀÐǵÄÏòÐÄÁ¦ÓÉÍòÓÐÒýÁ¦Ìṩ£¬¸ÃÐÇÇò±íÃæÎïÌåËùÊÜÖØÁ¦µÈÓÚÍòÓÐÒýÁ¦£¬ÁªÁ¢·½³Ì¼´¿ÉÇó³ö¸ÃÐÇÇòµÄµÚÒ»ÓîÖæËٶȦԣ»
½â´ð£º½â£º£¨1£©Ð¡Çò×öƽÅ×Ô˶¯£¬Ë®Æ½Î»ÒÆx=¦Ôt£¬ÊúÖ±Î»ÒÆ
ÓÉÎ»ÒÆ¹ØÏµµÃ£º
£¬
£¨2£©¸ÃÐÇÇòµÄ½üµØÎÀÐǵÄÏòÐÄÁ¦ÓÉÍòÓÐÒýÁ¦Ìṩ
¢Ù
¸ÃÐÇÇò±íÃæÎïÌåËùÊÜÖØÁ¦µÈÓÚÍòÓÐÒýÁ¦£¬
¢Ú
ÓÉ¢Ù¢ÚµÃ
´ð£º£¨1£©ÔÂÇò±íÃæµÄÖØÁ¦¼ÓËÙ¶Èg¡äΪ
£»
£¨2£©ÈËÔìÎÀÐÇÈÆÔÂÇò×öÔÈËÙÔ²ÖÜÔ˶¯µÄµÚÒ»ÓîÖæËÙ¶ÈΪ
£®
µãÆÀ£º¸ÃÌâÖ÷Òª¿¼²éÁËÆ½Å×Ô˶¯µÄÏà¹ØÖªÊ¶£¬ÒªÇóͬѧÃÇÄÜÊìÁ·ÕÆÎÕÆ½Å×Ô˶¯µÄ»ù±¾¹«Ê½£¬ÄѶÈÊÊÖУ®
£¨2£©¸ÃÐÇÇòµÄ½üµØÎÀÐǵÄÏòÐÄÁ¦ÓÉÍòÓÐÒýÁ¦Ìṩ£¬¸ÃÐÇÇò±íÃæÎïÌåËùÊÜÖØÁ¦µÈÓÚÍòÓÐÒýÁ¦£¬ÁªÁ¢·½³Ì¼´¿ÉÇó³ö¸ÃÐÇÇòµÄµÚÒ»ÓîÖæËٶȦԣ»
½â´ð£º½â£º£¨1£©Ð¡Çò×öƽÅ×Ô˶¯£¬Ë®Æ½Î»ÒÆx=¦Ôt£¬ÊúÖ±Î»ÒÆ
ÓÉÎ»ÒÆ¹ØÏµµÃ£º
£¨2£©¸ÃÐÇÇòµÄ½üµØÎÀÐǵÄÏòÐÄÁ¦ÓÉÍòÓÐÒýÁ¦Ìṩ
¸ÃÐÇÇò±íÃæÎïÌåËùÊÜÖØÁ¦µÈÓÚÍòÓÐÒýÁ¦£¬
ÓÉ¢Ù¢ÚµÃ
´ð£º£¨1£©ÔÂÇò±íÃæµÄÖØÁ¦¼ÓËÙ¶Èg¡äΪ
£¨2£©ÈËÔìÎÀÐÇÈÆÔÂÇò×öÔÈËÙÔ²ÖÜÔ˶¯µÄµÚÒ»ÓîÖæËÙ¶ÈΪ
µãÆÀ£º¸ÃÌâÖ÷Òª¿¼²éÁËÆ½Å×Ô˶¯µÄÏà¹ØÖªÊ¶£¬ÒªÇóͬѧÃÇÄÜÊìÁ·ÕÆÎÕÆ½Å×Ô˶¯µÄ»ù±¾¹«Ê½£¬ÄѶÈÊÊÖУ®
Á·Ï°²áϵÁдð°¸
Ïà¹ØÌâÄ¿