题目内容
如图所示,由电动机带动的水平传送带以速度为v=2.0m/s匀速运行,A端上方靠近传送带料斗中装有煤,打开阀门,煤以流量为Q=50kg/s落到传送带上,煤与传送带达共同速度后被运至B端,在运送煤的过程中,下列说法正确的是( )A.电动机应增加的功率为100W
B.电动机应增加的功率为200W
C.在一分钟内因煤与传送带摩擦产生的热为6.0×103J
D.在一分钟内因煤与传送带摩擦产生的热为1.2×104J
【答案】分析:煤流到传送带上后,在摩擦力作用下做初速度为零的匀加速直线运动,摩擦力对煤做正功,对传送带做负功,传送带多做的功转化为煤的动能以及系统之间产生热量,正确分析煤块的运动情况,利用功能关系可正确解答本题.
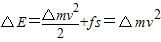
解答:解:设足够小的时间△t内落到传送带上煤的质量为△m,显然Q=△m/△t;这部分煤由于摩擦力f的作用被传送带加速,由功能关系得:

煤块在摩擦力作用下加速前进,因此有:

传送带的位移为:s传=vt
相对位移为:△s=s传-s=s,由此可知煤的位移与煤和传送带的相对位移相同,
因此摩擦生热为:
.
传送带需要增加的能量分为两部分:第一部分为煤获得的动能,第二部分为传送带克服摩擦力做功保持传送带速度.所以传送带△t内增加的能量△E为:

功率:
,由此可知A错误,B正确.
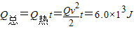
由前面的分析可知单位时间内产生的热量为:
.
因此一分钟产生的热量为:
,故C正确,D错误.
故选BC.
点评:传送带问题是高中物理中的一个重要题型,解答这类问题重点做好两类分析:一是运动分析,二是功能关系分析.
解答:解:设足够小的时间△t内落到传送带上煤的质量为△m,显然Q=△m/△t;这部分煤由于摩擦力f的作用被传送带加速,由功能关系得:
煤块在摩擦力作用下加速前进,因此有:
传送带的位移为:s传=vt
相对位移为:△s=s传-s=s,由此可知煤的位移与煤和传送带的相对位移相同,
因此摩擦生热为:
传送带需要增加的能量分为两部分:第一部分为煤获得的动能,第二部分为传送带克服摩擦力做功保持传送带速度.所以传送带△t内增加的能量△E为:
功率:
由前面的分析可知单位时间内产生的热量为:
因此一分钟产生的热量为:
故选BC.
点评:传送带问题是高中物理中的一个重要题型,解答这类问题重点做好两类分析:一是运动分析,二是功能关系分析.
练习册系列答案
相关题目