题目内容
如图所示,把小车放在光滑的水平桌面上,用轻绳跨过定滑轮使之与盛有沙子的小桶相连,已知小车的质量为M,小桶与沙子的总质量为m,把小车从静止状态释放后,在小桶下落竖直高度为h的过程中,若不计滑轮及空气的阻力,下列说法中正确的是( )A.绳拉车的力始终为mg
B.当M远远大于m时,才可以认为绳拉车的力为mg
C.小车获得的动能为mgh
D.小车获得的动能为 Mmgh/(M+m)
【答案】分析:对整体分析,运用牛顿第二定律求出加速度的大小,再隔离分析求出绳子的拉力,判断出在什么条件下绳子的拉力等于桶与沙子的总重力.小车和桶与沙子组成的系统,机械能守恒,根据系统机械能守恒求出小车的速度.
解答:解:AB、系统的加速度a=
,隔离对车分析,绳子的拉力T=Ma=
,知当M远远大于m时,绳子的拉力等于mg.故A错误,B正确.
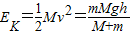
CD、小车和桶与沙子组成的系统,只有重力做功,机械能守恒,有:
.
解得
,则小车的动能
.故C错误,D正确.
故选BD.
点评:本题综合考查了牛顿第二定律和机械能守恒定律,难度中等,注意对于单个物体,机械能不守恒.
解答:解:AB、系统的加速度a=
CD、小车和桶与沙子组成的系统,只有重力做功,机械能守恒,有:
解得
故选BD.
点评:本题综合考查了牛顿第二定律和机械能守恒定律,难度中等,注意对于单个物体,机械能不守恒.
练习册系列答案
相关题目
| A、小桶处于失重状态 | ||||
B、小桶的最大速度为
| ||||
| C、小车受绳的拉力等于mg | ||||
| D、小车的最大动能为mgh |